🇳🇴 🇬🇧 🇩🇪 🇨🇿 🇫🇮

Meteor Brumunddalin yllä 2024-11-22 01:30:12 UTC

KML-tiedosto  |  Interaktiivinen kartta

Kartta näyttää meteorin suuntahavainnot. Vaaleammat viivat näyttävät suunnat havaintoasemilta meteorin ilmestyessä, ja tummemmat viivat näyttävät, missä se viimeksi nähtiin. Sininen nuoli näyttää meteorin näkyvän lennon.

static map
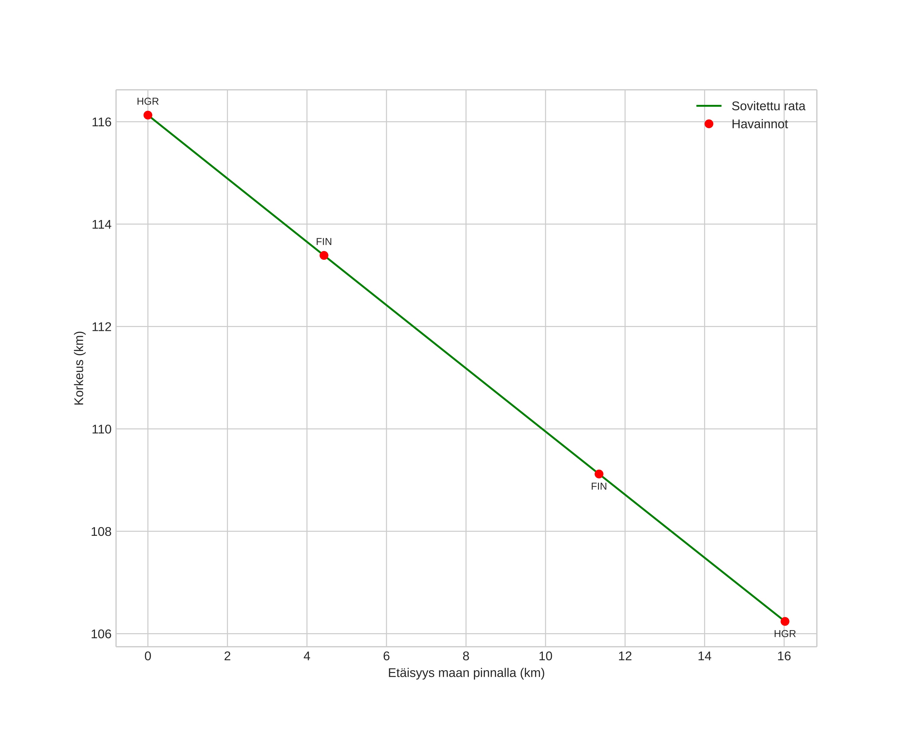
height profile
Meteorin ilmakehärata:
Alkukorkeus: 116,6 km
Loppukorkeus: 106,7 km
Alkupiste: 61,129N 11,208E
Loppupiste: 61,165N 10,928E
Suunta: 284,9°
Kallistuskulma: 32,5°
Tulonopeus: 73,0 km/s
Radiantin R,A,: 10:24 (156,1°)
Radiantin Dekl,: 21,2°
Meteoriparvi: Leonidit
Meteoroidin rataelementit:
Perihelietäisyys: 0,988 AU
Eksentrisyys: 1,027
Inklinaatio: 162,1°
Nousevan solmun pituus: 239,9°
Perihelin argumentti: 180,4°
Keskianomalia: -0,0°
Epookki: 2024 NOV 22 01:30:12
orbit plot

Ei-interaktiivinen kuvaaja | Interaktiivinen kuvaaja

position vs time
speed and acceleration