🇳🇴 🇬🇧 🇩🇪 🇨🇿 🇫🇮

Meteor, poloha: Skui 2024-11-22 05:01:44 UTC

Soubor KML  |  InteraktivnĂ­ mapa

Mapa zobrazuje dráhy meteoru. Světlejší čáry ukazují směry od pozorovacích stanic při objevení se meteoru a tmavší čáry, kde byl naposledy viděn. Modrá šipka značí viditelnou dráhu meteoru.

static map
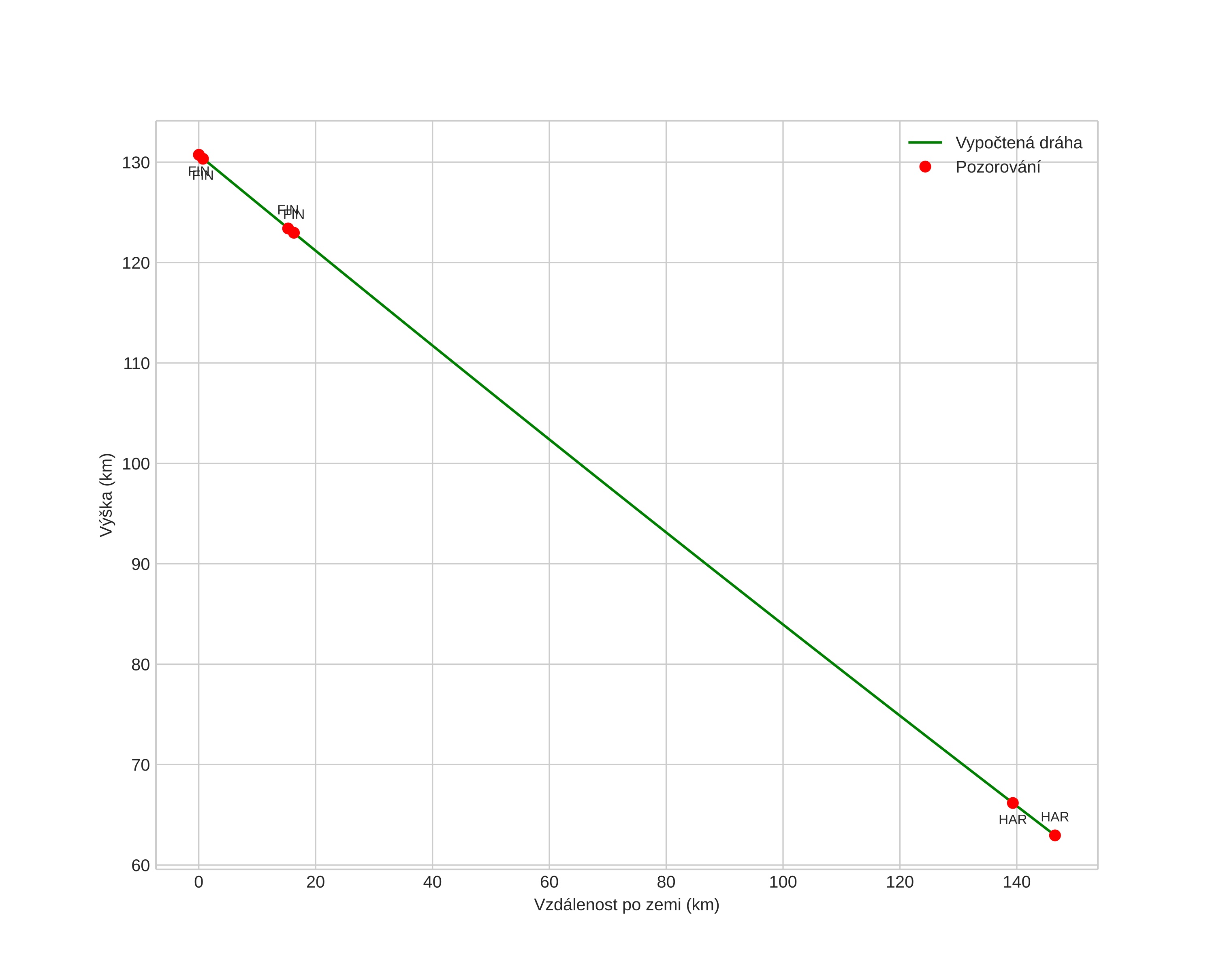
height profile
Atmosférická dráha meteoru:
Počáteční výška: 130,4 km
Konečná výška: 60,7 km
Počáteční poloha: 59,515N 12,907E
Konečná poloha: 60,047N 10,422E
Směr: 294,1°
Sklon: 24,8°
orbit plot
position vs time
speed and acceleration