🇳🇴 🇬🇧 🇩🇪 🇨🇿 🇫🇮

Meteor Skuin yllä 2024-11-22 05:01:44 UTC

KML-tiedosto  |  Interaktiivinen kartta

Kartta näyttää meteorin suuntahavainnot. Vaaleammat viivat näyttävät suunnat havaintoasemilta meteorin ilmestyessä, ja tummemmat viivat näyttävät, missä se viimeksi nähtiin. Sininen nuoli näyttää meteorin näkyvän lennon.

static map
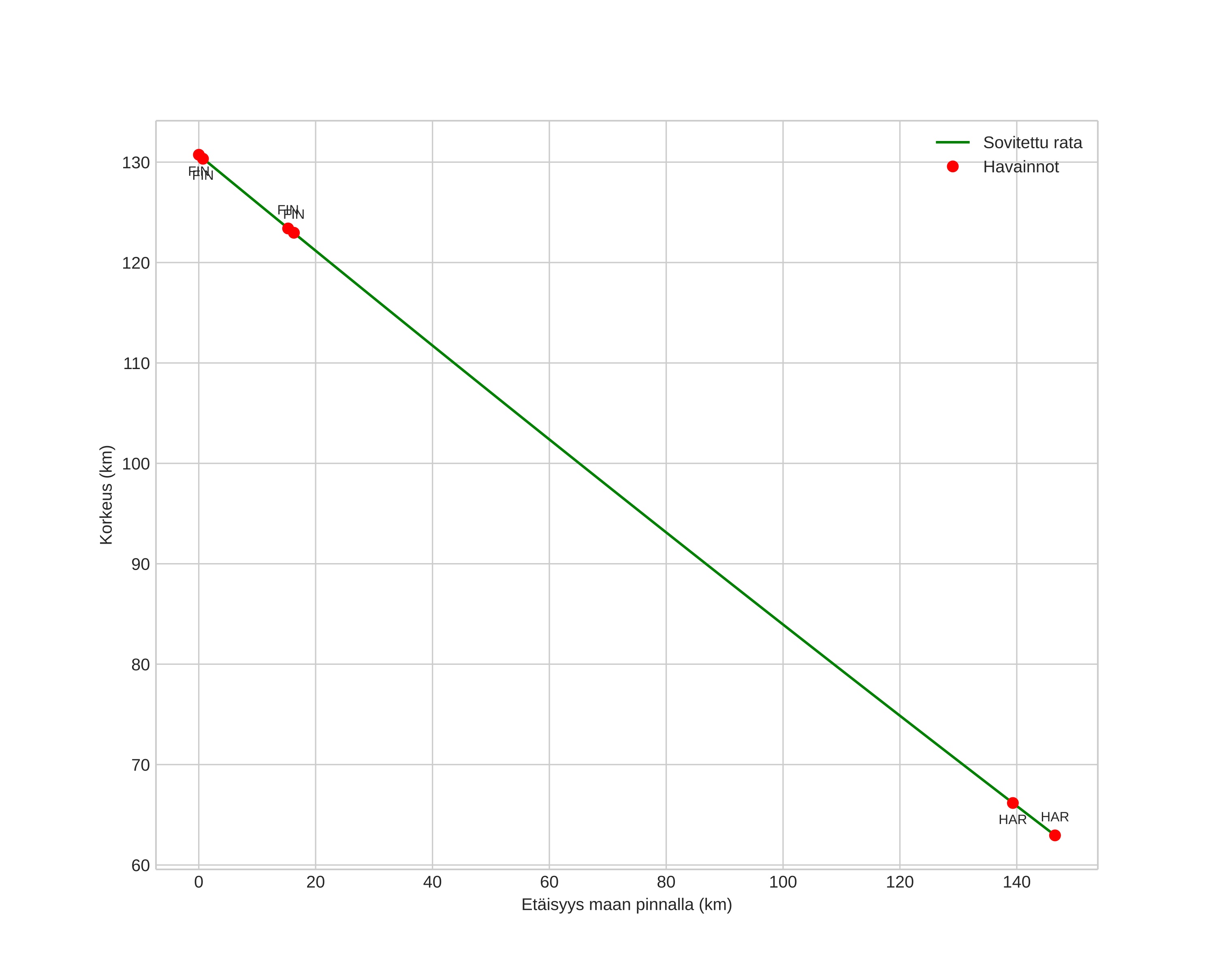
height profile
Meteorin ilmakehärata:
Alkukorkeus: 130,4 km
Loppukorkeus: 60,7 km
Alkupiste: 59,515N 12,907E
Loppupiste: 60,047N 10,422E
Suunta: 294,1°
Kallistuskulma: 24,8°
orbit plot
position vs time
speed and acceleration