🇳🇴 🇬🇧 🇩🇪 🇨🇿 🇫🇮

Meteor, poloha: Ă–regrund 2024-11-22 05:35:47 UTC

Soubor KML  |  InteraktivnĂ­ mapa

Mapa zobrazuje dráhy meteoru. Světlejší čáry ukazují směry od pozorovacích stanic při objevení se meteoru a tmavší čáry, kde byl naposledy viděn. Modrá šipka značí viditelnou dráhu meteoru.

static map
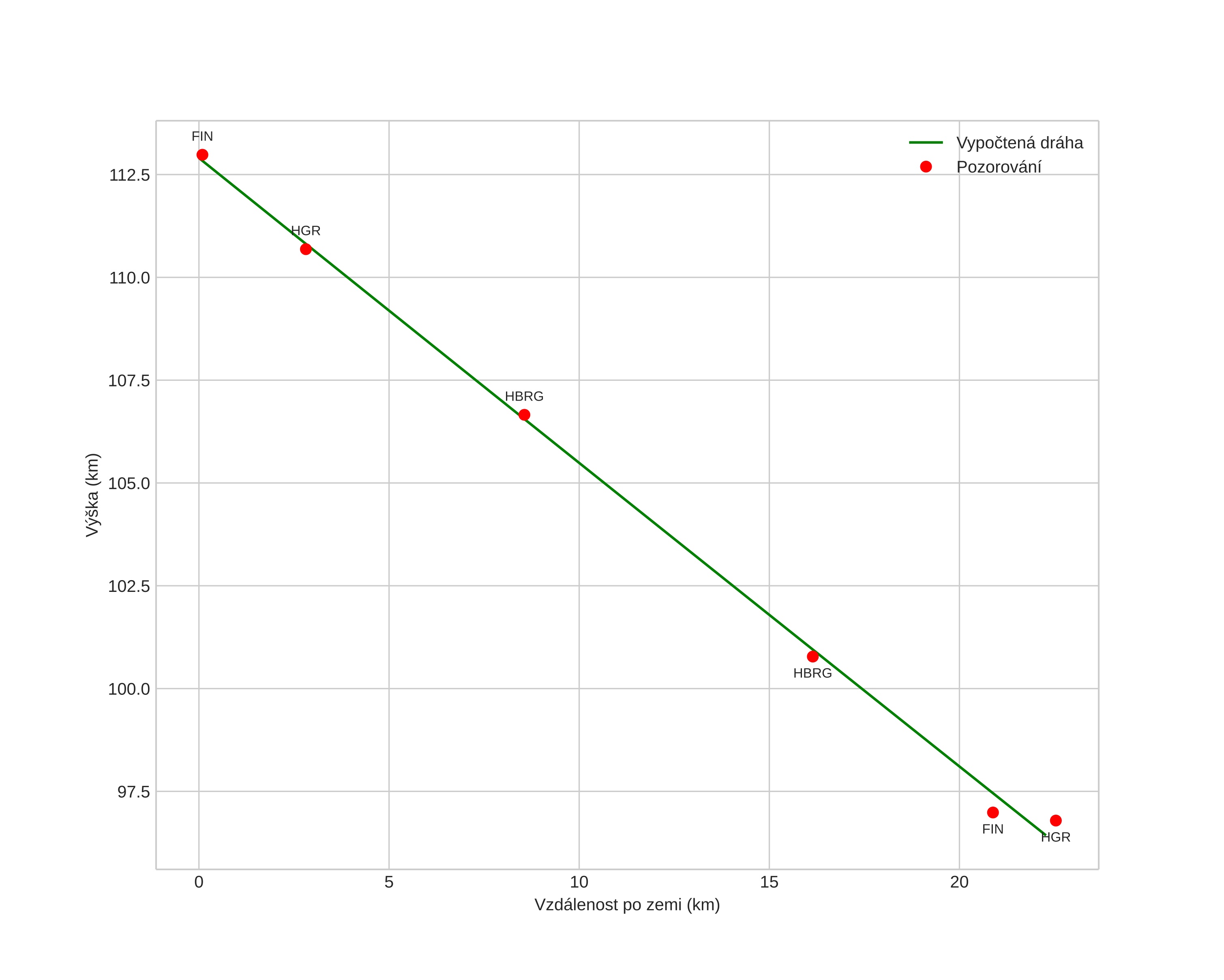
height profile
Atmosférická dráha meteoru:
Počáteční výška: 112,9 km
Konečná výška: 96,4 km
Počáteční poloha: 60,364N 18,046E
Konečná poloha: 60,493N 18,354E
Směr: 49,4°
Sklon: 36,6°
VstupnĂ­ rychlost: 73,0 km/s
Rektascenze radiantu: 08:15 (123,9°)
Deklinace radiantu: 14,8°
MeteorickĂ˝ roj: sporadickĂ˝
Elementy dráhy meteoroidu:
Vzdálenost v periheliu: 0,562 AU
Excentricita: 1,318
Sklon dráhy: 169,7°
Délka vzestupného uzlu: 60,0°
Argument perihelia: 76,0°
Střední anomálie: -13,6°
Epocha: 2024 NOV 22 05:35:47
orbit plot

NeinteraktivnĂ­ graf | InteraktivnĂ­ graf

position vs time
speed and acceleration