🇳🇴 🇬🇧 🇩🇪 🇨🇿 🇫🇮

Meteor Öregrundin yllä 2024-11-22 05:35:47 UTC

KML-tiedosto  |  Interaktiivinen kartta

Kartta näyttää meteorin suuntahavainnot. Vaaleammat viivat näyttävät suunnat havaintoasemilta meteorin ilmestyessä, ja tummemmat viivat näyttävät, missä se viimeksi nähtiin. Sininen nuoli näyttää meteorin näkyvän lennon.

static map
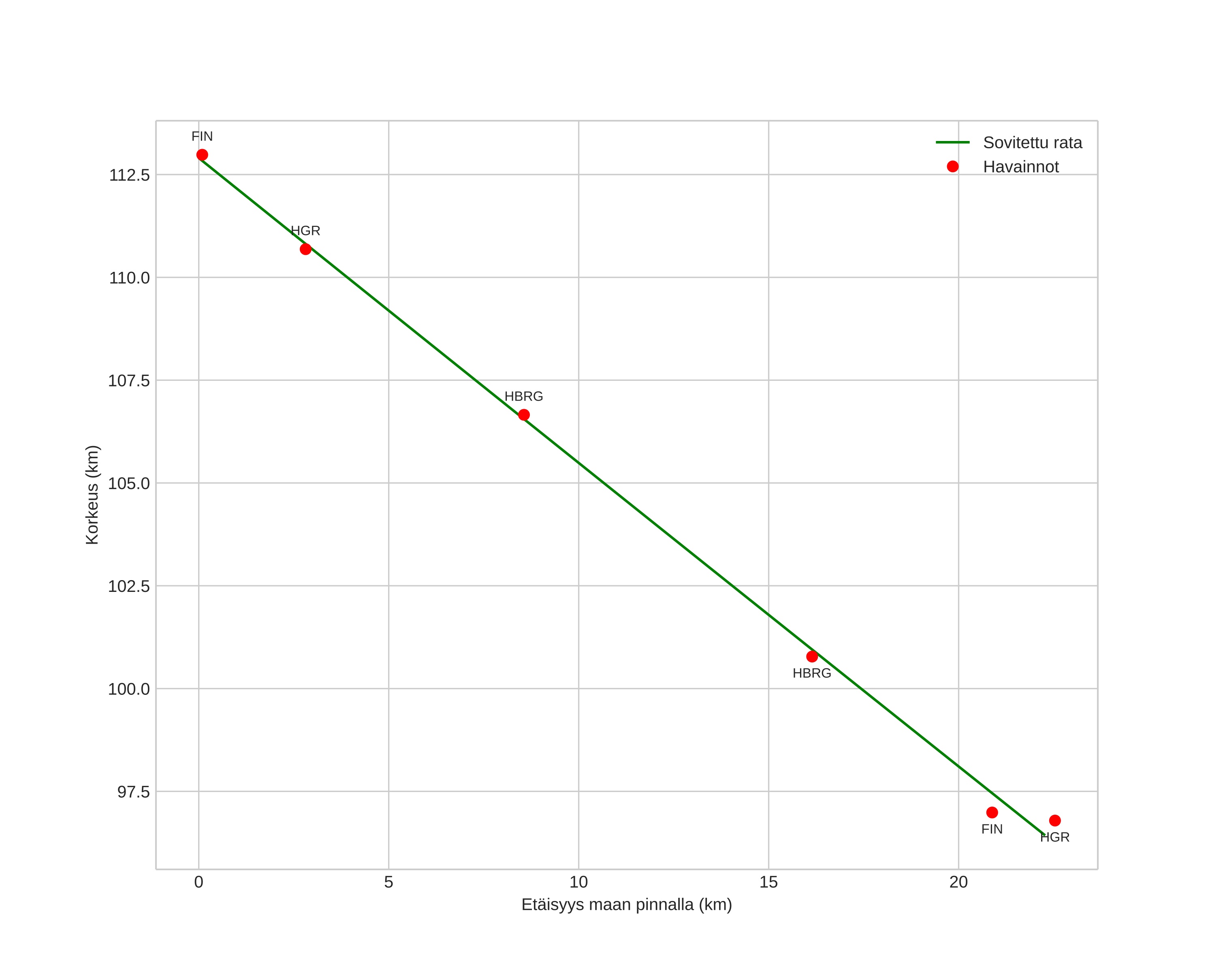
height profile
Meteorin ilmakehärata:
Alkukorkeus: 112,9 km
Loppukorkeus: 96,4 km
Alkupiste: 60,364N 18,046E
Loppupiste: 60,493N 18,354E
Suunta: 49,4°
Kallistuskulma: 36,6°
Tulonopeus: 73,0 km/s
Radiantin R,A,: 08:15 (123,9°)
Radiantin Dekl,: 14,8°
Meteoriparvi: Sporadinen
Meteoroidin rataelementit:
Perihelietäisyys: 0,562 AU
Eksentrisyys: 1,318
Inklinaatio: 169,7°
Nousevan solmun pituus: 60,0°
Perihelin argumentti: 76,0°
Keskianomalia: -13,6°
Epookki: 2024 NOV 22 05:35:47
orbit plot

Ei-interaktiivinen kuvaaja | Interaktiivinen kuvaaja

position vs time
speed and acceleration