🇳🇴 🇬🇧 🇩🇪 🇨🇿 🇫🇮

Meteor, poloha: Innbygda 2024-11-22 19:17:21 UTC

Soubor KML  |  InteraktivnĂ­ mapa

Mapa zobrazuje dráhy meteoru. Světlejší čáry ukazují směry od pozorovacích stanic při objevení se meteoru a tmavší čáry, kde byl naposledy viděn. Modrá šipka značí viditelnou dráhu meteoru.

static map
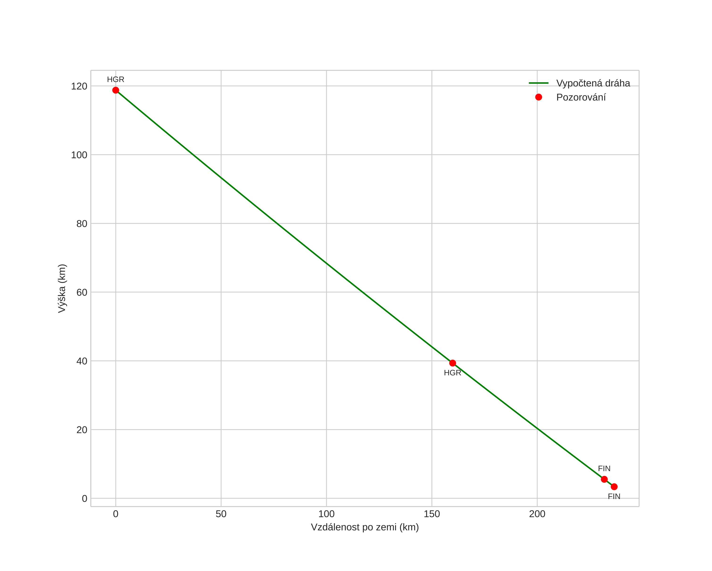
height profile
Atmosférická dráha meteoru:
Počáteční výška: 131,1 km
Konečná výška: 3,2 km
Počáteční poloha: 59,990N 16,730E
Konečná poloha: 61,130N 12,580E
Směr: 301,0°
Sklon: 26,2°
VstupnĂ­ rychlost: 1,3 km/s
position vs time
speed and acceleration