🇳🇴 🇬🇧 🇩🇪 🇨🇿 🇫🇮

Meteor Innbygdan yllä 2024-11-22 19:17:21 UTC

KML-tiedosto  |  Interaktiivinen kartta

Kartta näyttää meteorin suuntahavainnot. Vaaleammat viivat näyttävät suunnat havaintoasemilta meteorin ilmestyessä, ja tummemmat viivat näyttävät, missä se viimeksi nähtiin. Sininen nuoli näyttää meteorin näkyvän lennon.

static map
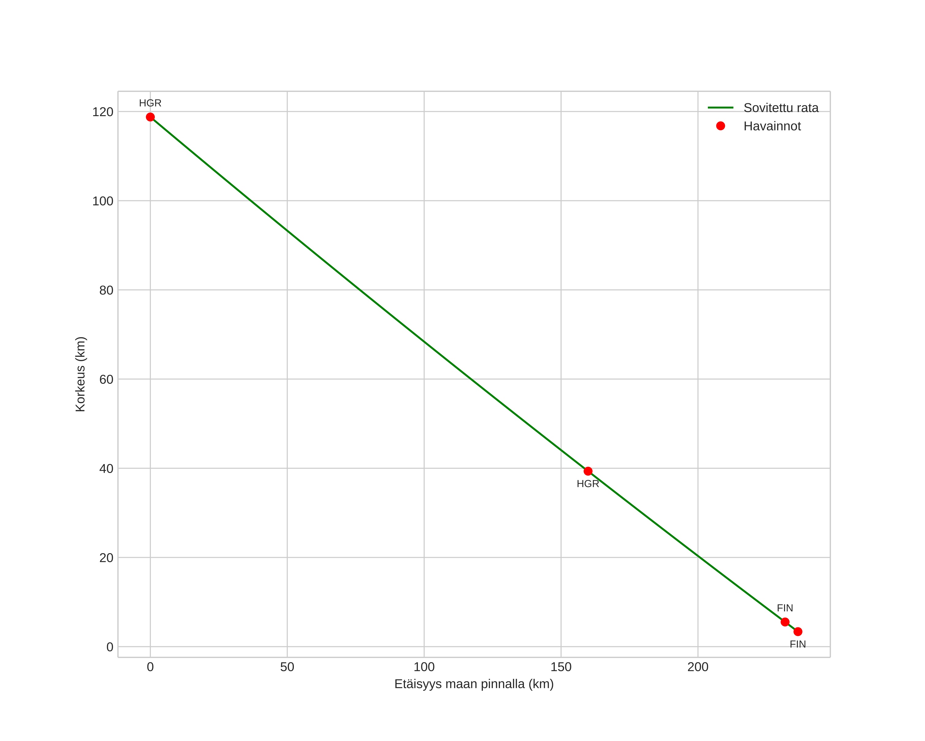
height profile
Meteorin ilmakehärata:
Alkukorkeus: 131,1 km
Loppukorkeus: 3,2 km
Alkupiste: 59,990N 16,730E
Loppupiste: 61,130N 12,580E
Suunta: 301,0°
Kallistuskulma: 26,2°
Tulonopeus: 1,3 km/s
position vs time
speed and acceleration