🇳🇴 🇬🇧 🇩🇪 🇨🇿 🇫🇮

Meteor, poloha: Voss 2024-11-22 20:53:06 UTC

Soubor KML  |  InteraktivnĂ­ mapa

Mapa zobrazuje dráhy meteoru. Světlejší čáry ukazují směry od pozorovacích stanic při objevení se meteoru a tmavší čáry, kde byl naposledy viděn. Modrá šipka značí viditelnou dráhu meteoru.

static map
height profile
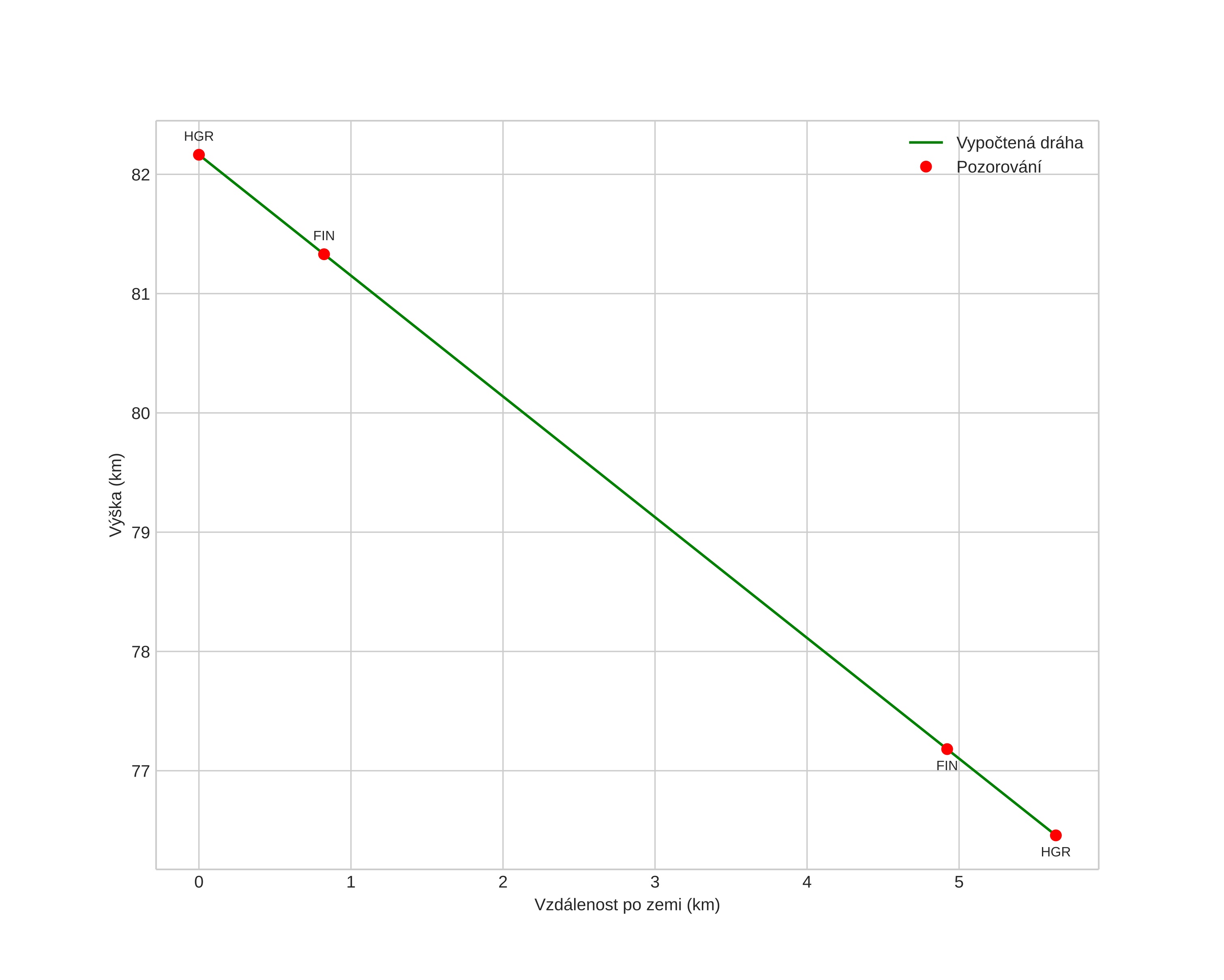
Atmosférická dráha meteoru:
Počáteční výška: 81,8 km
Konečná výška: 73,9 km
Počáteční poloha: 60,651N 6,427E
Konečná poloha: 60,680N 6,339E
Směr: 304,0°
Sklon: 53,8°
VstupnĂ­ rychlost: 29,6 km/s
Rektascenze radiantu: 03:50 (57,5°)
Deklinace radiantu: 31,5°
MeteorickĂ˝ roj: sporadickĂ˝
Elementy dráhy meteoroidu:
Vzdálenost v periheliu: 0,517 AU
Excentricita: 0,904
Sklon dráhy: 10,1°
Délka vzestupného uzlu: 240,7°
Argument perihelia: 270,2°
Střední anomálie: 356,8°
Epocha: 2024 NOV 22 20:53:06
orbit plot

NeinteraktivnĂ­ graf | InteraktivnĂ­ graf

position vs time
speed and acceleration