🇳🇴 🇬🇧 🇩🇪 🇨🇿 🇫🇮

Meteor Vossin yllä 2024-11-22 20:53:06 UTC

KML-tiedosto  |  Interaktiivinen kartta

Kartta näyttää meteorin suuntahavainnot. Vaaleammat viivat näyttävät suunnat havaintoasemilta meteorin ilmestyessä, ja tummemmat viivat näyttävät, missä se viimeksi nähtiin. Sininen nuoli näyttää meteorin näkyvän lennon.

static map
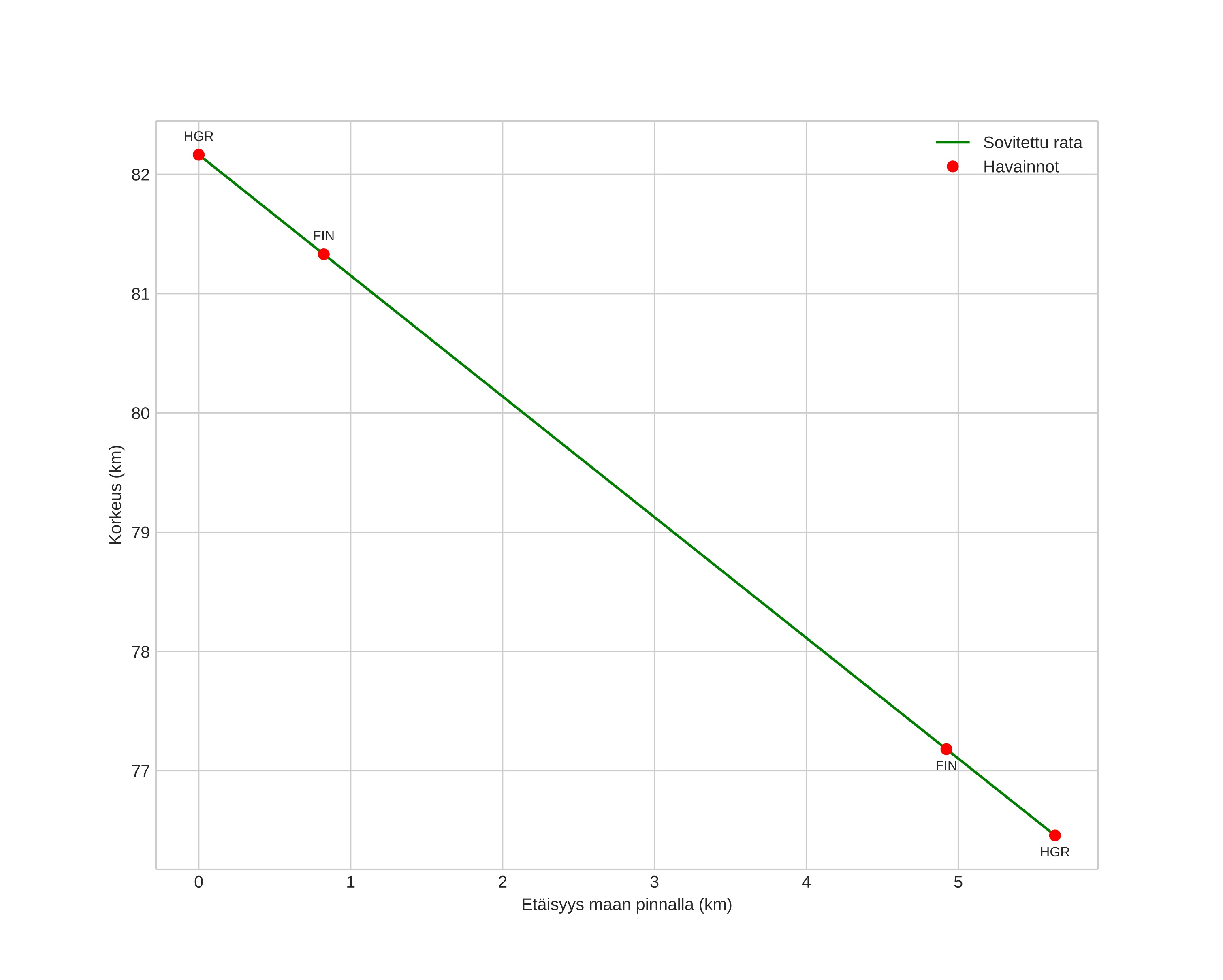
height profile
Meteorin ilmakehärata:
Alkukorkeus: 81,8 km
Loppukorkeus: 73,9 km
Alkupiste: 60,651N 6,427E
Loppupiste: 60,680N 6,339E
Suunta: 304,0°
Kallistuskulma: 53,8°
Tulonopeus: 29,6 km/s
Radiantin R,A,: 03:50 (57,5°)
Radiantin Dekl,: 31,5°
Meteoriparvi: Sporadinen
Meteoroidin rataelementit:
Perihelietäisyys: 0,517 AU
Eksentrisyys: 0,904
Inklinaatio: 10,1°
Nousevan solmun pituus: 240,7°
Perihelin argumentti: 270,2°
Keskianomalia: 356,8°
Epookki: 2024 NOV 22 20:53:06
orbit plot

Ei-interaktiivinen kuvaaja | Interaktiivinen kuvaaja

position vs time
speed and acceleration