🇳🇴 🇬🇧 🇩🇪 🇨🇿 🇫🇮

Meteor, poloha: Xenia 2024-11-22 23:25:11 UTC

Soubor KML  |  InteraktivnĂ­ mapa

Mapa zobrazuje dráhy meteoru. Světlejší čáry ukazují směry od pozorovacích stanic při objevení se meteoru a tmavší čáry, kde byl naposledy viděn. Modrá šipka značí viditelnou dráhu meteoru.

static map
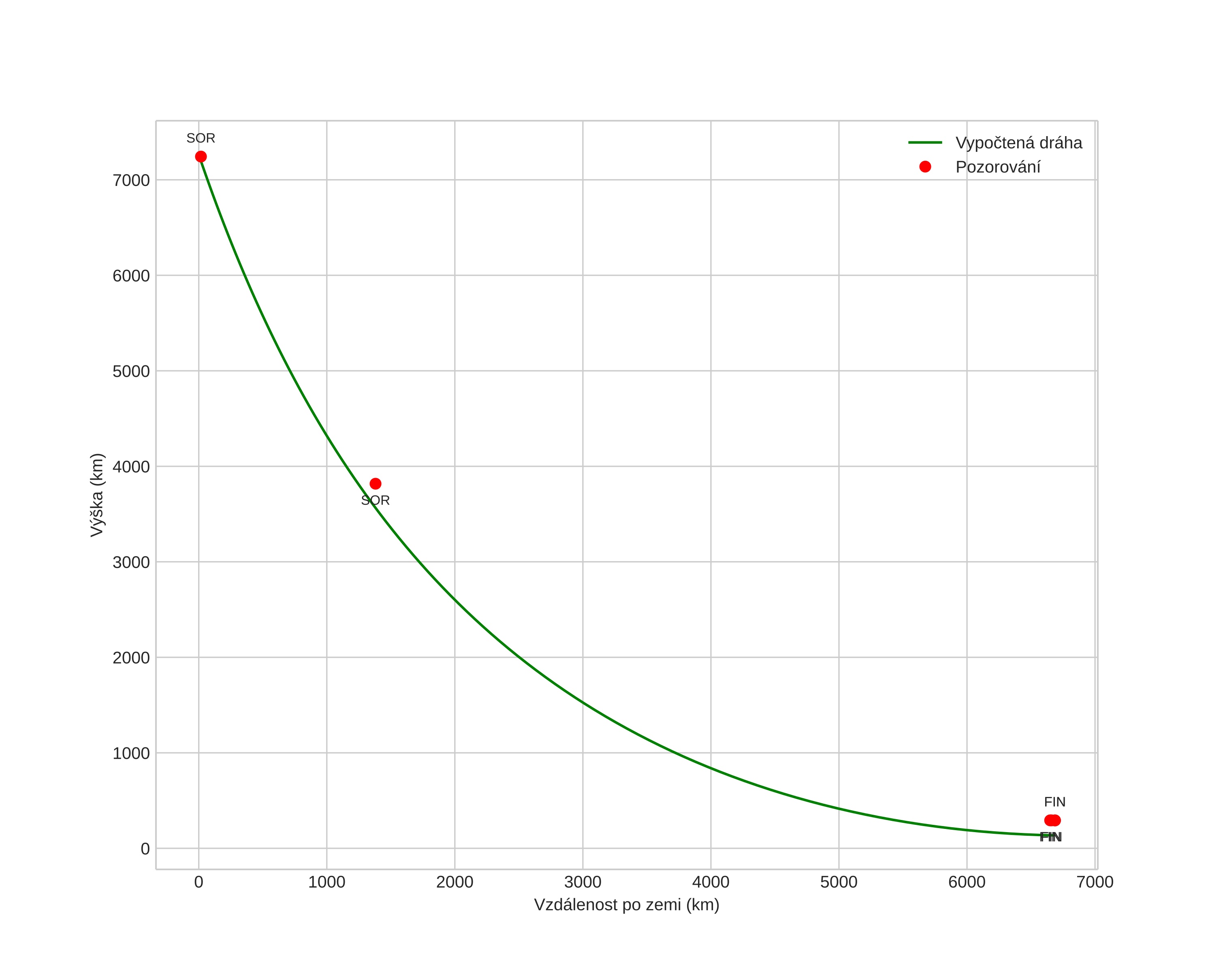
height profile
Atmosférická dráha meteoru:
Počáteční výška: 135,6 km
Konečná výška: 6755,9 km
Počáteční poloha: 64,910N 15,756E
Konečná poloha: 39,701N -83,960E
Směr: 297,1°
Sklon: -45,5°
VstupnĂ­ rychlost: 135,8 km/s
Rektascenze radiantu: 10:43 (161,0°)
Deklinace radiantu: -51,7°
MeteorickĂ˝ roj: sporadickĂ˝
Elementy dráhy meteoroidu:
Vzdálenost v periheliu: 0,887 AU
Excentricita: 14,694
Sklon dráhy: 105,8°
Délka vzestupného uzlu: 60,8°
Argument perihelia: 333,0°
Střední anomálie: 371,9°
Epocha: 2024 NOV 22 23:25:11
orbit plot

NeinteraktivnĂ­ graf | InteraktivnĂ­ graf

position vs time
speed and acceleration

Sorreisa (SOR) cam4

gnomonic
Videa
• Původní
Obrázky
• Původní
Textové soubory
• Detekce
• Pozorování
• Souřadnice
• Protokol
Jasnost