🇳🇴 🇬🇧 🇩🇪 🇨🇿 🇫🇮

Meteor Xenian yllä 2024-11-22 23:25:11 UTC

KML-tiedosto  |  Interaktiivinen kartta

Kartta näyttää meteorin suuntahavainnot. Vaaleammat viivat näyttävät suunnat havaintoasemilta meteorin ilmestyessä, ja tummemmat viivat näyttävät, missä se viimeksi nähtiin. Sininen nuoli näyttää meteorin näkyvän lennon.

static map
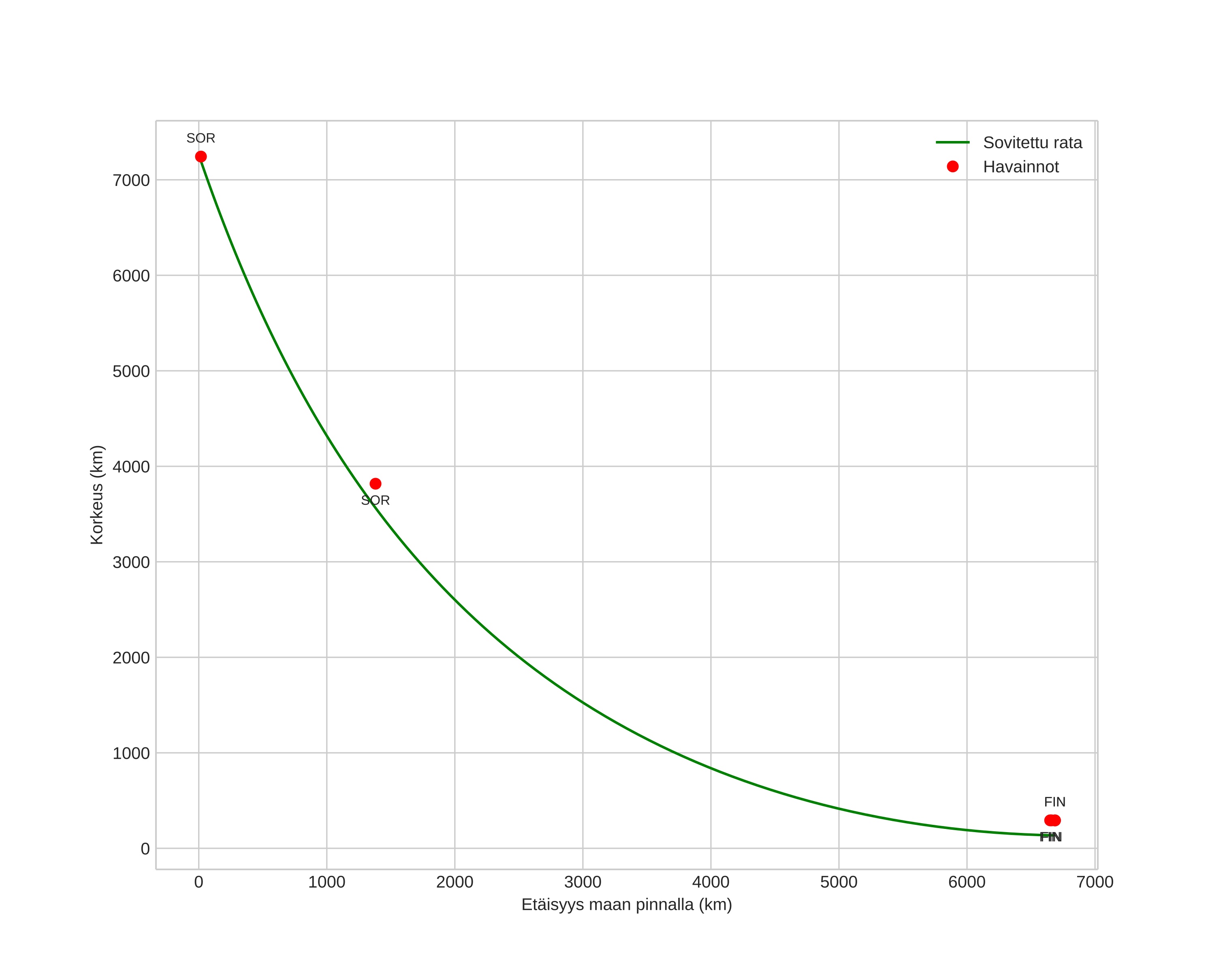
height profile
Meteorin ilmakehärata:
Alkukorkeus: 135,6 km
Loppukorkeus: 6755,9 km
Alkupiste: 64,910N 15,756E
Loppupiste: 39,701N -83,960E
Suunta: 297,1°
Kallistuskulma: -45,5°
Tulonopeus: 135,8 km/s
Radiantin R,A,: 10:43 (161,0°)
Radiantin Dekl,: -51,7°
Meteoriparvi: Sporadinen
Meteoroidin rataelementit:
Perihelietäisyys: 0,887 AU
Eksentrisyys: 14,694
Inklinaatio: 105,8°
Nousevan solmun pituus: 60,8°
Perihelin argumentti: 333,0°
Keskianomalia: 371,9°
Epookki: 2024 NOV 22 23:25:11
orbit plot

Ei-interaktiivinen kuvaaja | Interaktiivinen kuvaaja

position vs time
speed and acceleration

Sorreisa (SOR) cam4

gnomonic
Videot:
• Alkuperäinen
Kuvat:
• Alkuperäinen
Tekstitiedostot:
• Havaintoraportti
• Observaatio
• Koordinaatit
• Loki
Kirkkaus