🇳🇴 🇬🇧 🇩🇪 🇨🇿 🇫🇮

Meteor, poloha: Rødberg 2024-11-23 01:46:16 UTC

Soubor KML  |  InteraktivnĂ­ mapa

Mapa zobrazuje dráhy meteoru. Světlejší čáry ukazují směry od pozorovacích stanic při objevení se meteoru a tmavší čáry, kde byl naposledy viděn. Modrá šipka značí viditelnou dráhu meteoru.

static map
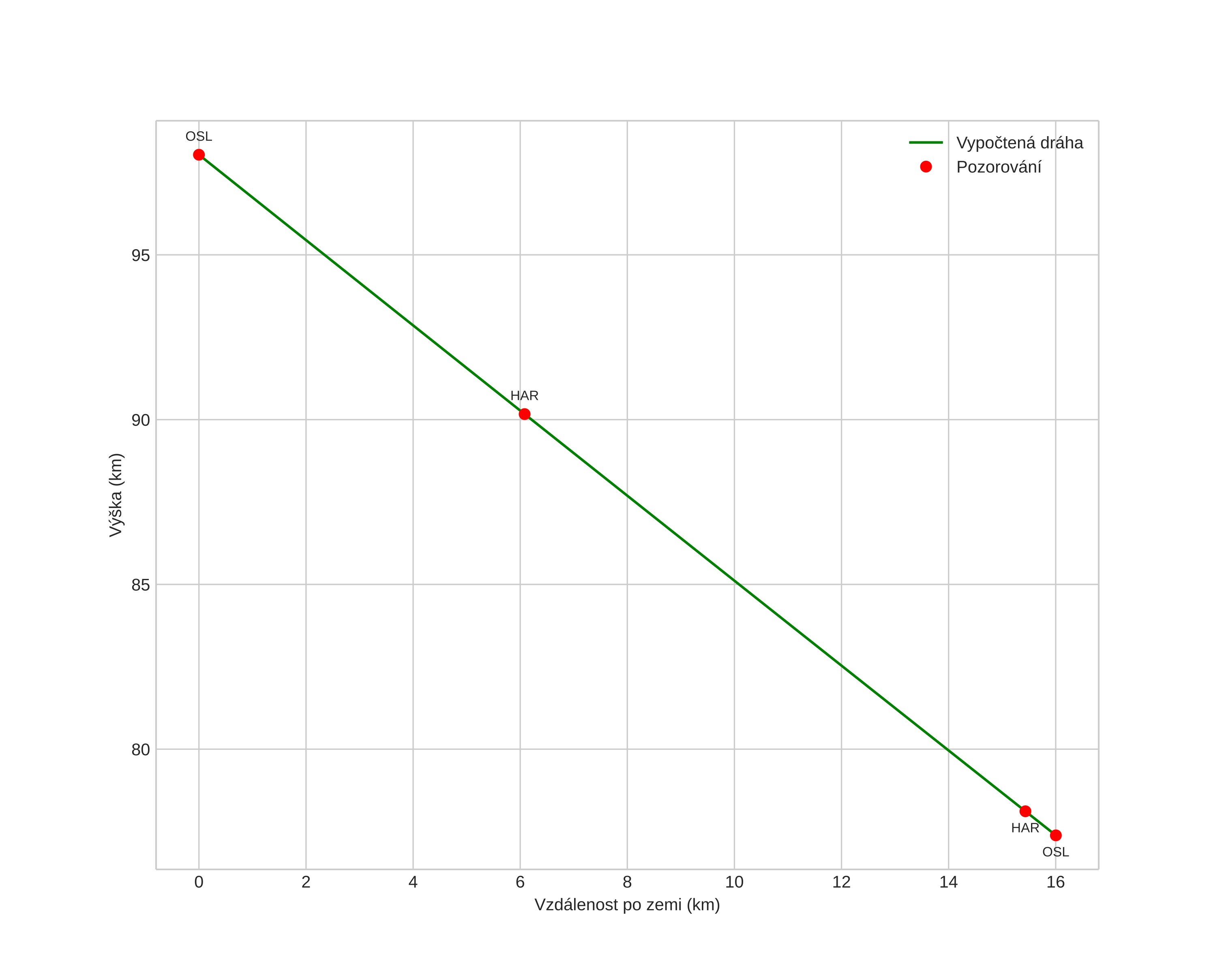
height profile
Atmosférická dráha meteoru:
Počáteční výška: 97,0 km
Konečná výška: 71,0 km
Počáteční poloha: 60,159N 8,812E
Konečná poloha: 60,295N 9,066E
Směr: 42,7°
Sklon: 51,6°
VstupnĂ­ rychlost: 27,9 km/s
Rektascenze radiantu: 04:32 (68,1°)
Deklinace radiantu: 25,1°
MeteorickĂ˝ roj: SevernĂ­ Tauridy
Elementy dráhy meteoroidu:
Vzdálenost v periheliu: 0,418 AU
Excentricita: 0,783
Sklon dráhy: 3,1°
Délka vzestupného uzlu: 240,9°
Argument perihelia: 288,4°
Střední anomálie: 343,5°
Epocha: 2024 NOV 23 01:46:16
orbit plot

NeinteraktivnĂ­ graf | InteraktivnĂ­ graf

position vs time
speed and acceleration