🇳🇴 🇬🇧 🇩🇪 🇨🇿 🇫🇮

Meteor Rødbergin yllä 2024-11-23 01:46:16 UTC

KML-tiedosto  |  Interaktiivinen kartta

Kartta näyttää meteorin suuntahavainnot. Vaaleammat viivat näyttävät suunnat havaintoasemilta meteorin ilmestyessä, ja tummemmat viivat näyttävät, missä se viimeksi nähtiin. Sininen nuoli näyttää meteorin näkyvän lennon.

static map
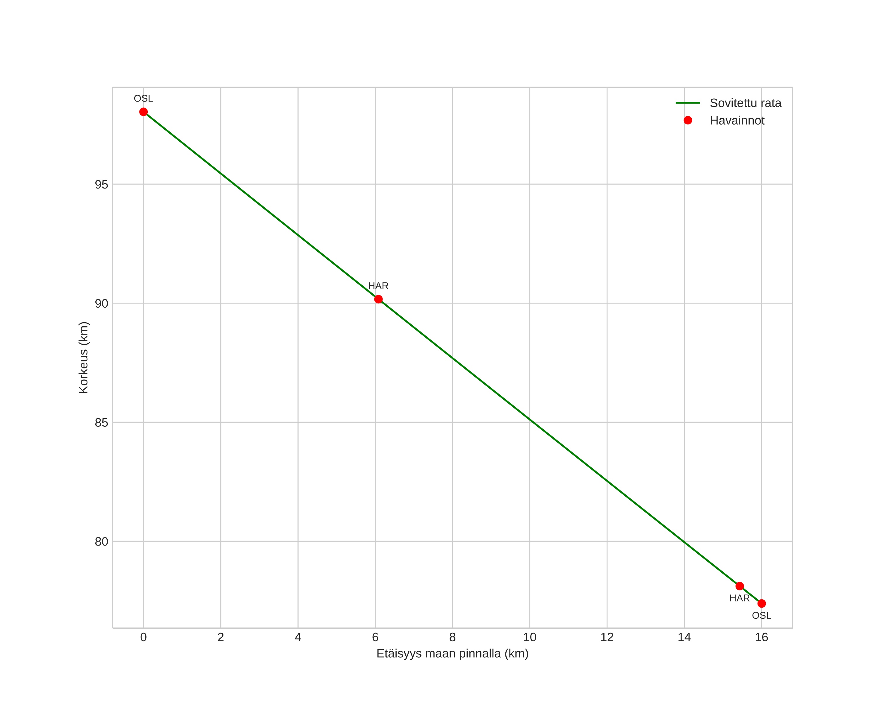
height profile
Meteorin ilmakehärata:
Alkukorkeus: 97,0 km
Loppukorkeus: 71,0 km
Alkupiste: 60,159N 8,812E
Loppupiste: 60,295N 9,066E
Suunta: 42,7°
Kallistuskulma: 51,6°
Tulonopeus: 27,9 km/s
Radiantin R,A,: 04:32 (68,1°)
Radiantin Dekl,: 25,1°
Meteoriparvi: Pohjoiset tauridit
Meteoroidin rataelementit:
Perihelietäisyys: 0,418 AU
Eksentrisyys: 0,783
Inklinaatio: 3,1°
Nousevan solmun pituus: 240,9°
Perihelin argumentti: 288,4°
Keskianomalia: 343,5°
Epookki: 2024 NOV 23 01:46:16
orbit plot

Ei-interaktiivinen kuvaaja | Interaktiivinen kuvaaja

position vs time
speed and acceleration