🇳🇴 🇬🇧 🇩🇪 🇨🇿 🇫🇮

Meteor, poloha: Bjørkelangen 2024-11-23 02:46:47 UTC

Soubor KML  |  InteraktivnĂ­ mapa

Mapa zobrazuje dráhy meteoru. Světlejší čáry ukazují směry od pozorovacích stanic při objevení se meteoru a tmavší čáry, kde byl naposledy viděn. Modrá šipka značí viditelnou dráhu meteoru.

static map
height profile
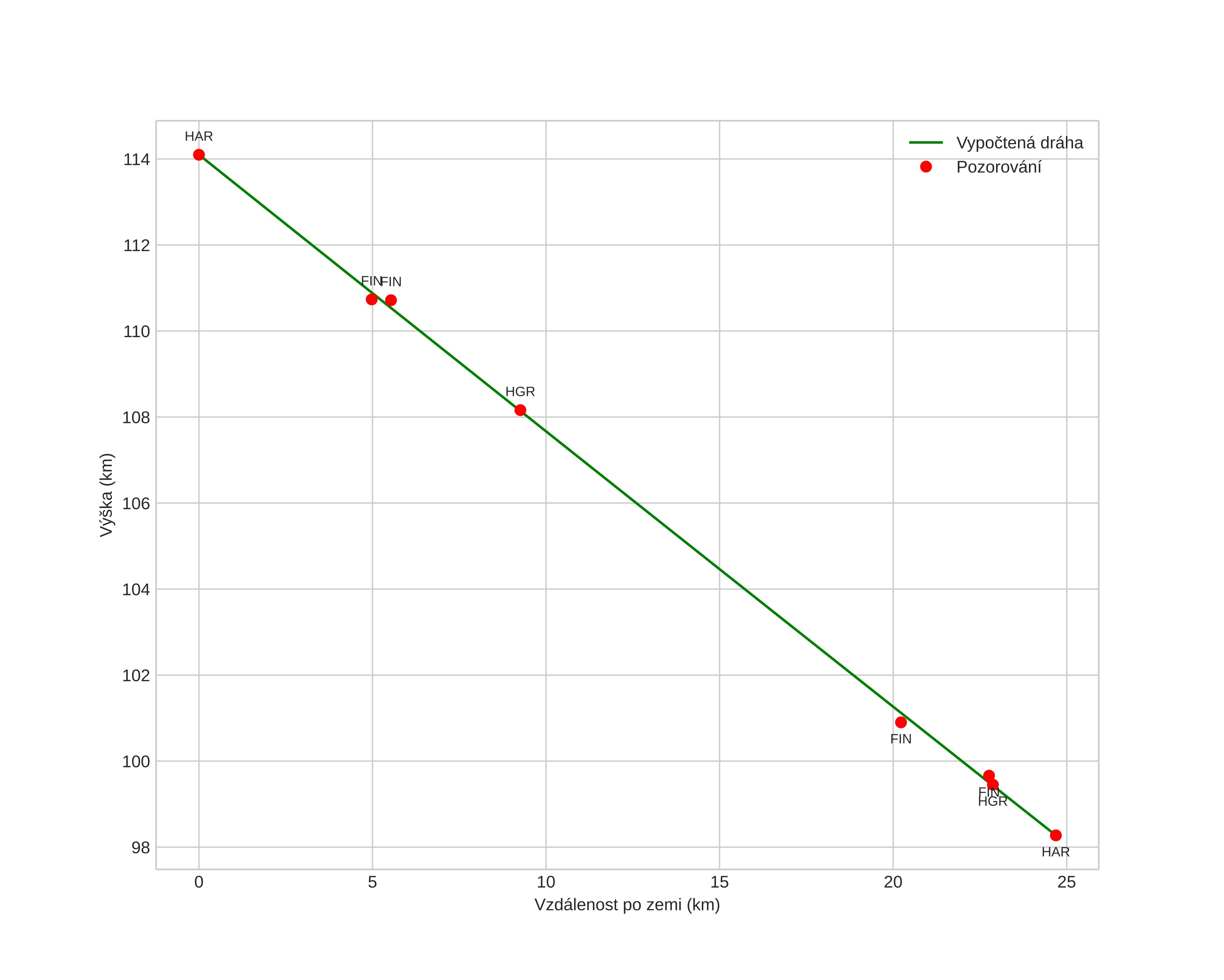
Atmosférická dráha meteoru:
Počáteční výška: 114,4 km
Konečná výška: 99,1 km
Počáteční poloha: 59,846N 12,181E
Konečná poloha: 59,899N 11,771E
Směr: 284,6°
Sklon: 32,9°
VstupnĂ­ rychlost: 57,0 km/s
Rektascenze radiantu: 11:47 (176,9°)
Deklinace radiantu: 21,0°
MeteorickĂ˝ roj: sporadickĂ˝
Elementy dráhy meteoroidu:
Vzdálenost v periheliu: 0,518 AU
Excentricita: 0,510
Sklon dráhy: 139,9°
Délka vzestupného uzlu: 241,0°
Argument perihelia: 66,0°
Střední anomálie: 53,6°
Epocha: 2024 NOV 23 02:46:47
orbit plot

NeinteraktivnĂ­ graf | InteraktivnĂ­ graf

position vs time
speed and acceleration