🇳🇴 🇬🇧 🇩🇪 🇨🇿 🇫🇮

Meteor Bjørkelangenin yllä 2024-11-23 02:46:47 UTC

KML-tiedosto  |  Interaktiivinen kartta

Kartta näyttää meteorin suuntahavainnot. Vaaleammat viivat näyttävät suunnat havaintoasemilta meteorin ilmestyessä, ja tummemmat viivat näyttävät, missä se viimeksi nähtiin. Sininen nuoli näyttää meteorin näkyvän lennon.

static map
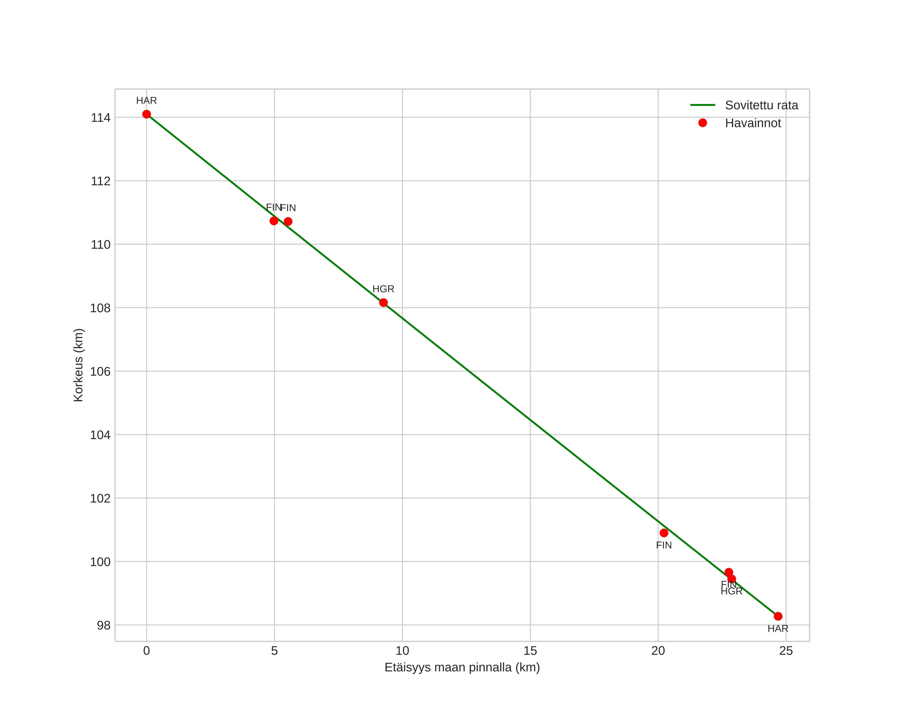
height profile
Meteorin ilmakehärata:
Alkukorkeus: 114,4 km
Loppukorkeus: 99,1 km
Alkupiste: 59,846N 12,181E
Loppupiste: 59,899N 11,771E
Suunta: 284,6°
Kallistuskulma: 32,9°
Tulonopeus: 57,0 km/s
Radiantin R,A,: 11:47 (176,9°)
Radiantin Dekl,: 21,0°
Meteoriparvi: Sporadinen
Meteoroidin rataelementit:
Perihelietäisyys: 0,518 AU
Eksentrisyys: 0,510
Inklinaatio: 139,9°
Nousevan solmun pituus: 241,0°
Perihelin argumentti: 66,0°
Keskianomalia: 53,6°
Epookki: 2024 NOV 23 02:46:47
orbit plot

Ei-interaktiivinen kuvaaja | Interaktiivinen kuvaaja

position vs time
speed and acceleration