🇳🇴 🇬🇧 🇩🇪 🇨🇿 🇫🇮

Meteor, poloha: Malung 2024-11-23 03:09:38 UTC

Soubor KML  |  InteraktivnĂ­ mapa

Mapa zobrazuje dráhy meteoru. Světlejší čáry ukazují směry od pozorovacích stanic při objevení se meteoru a tmavší čáry, kde byl naposledy viděn. Modrá šipka značí viditelnou dráhu meteoru.

static map
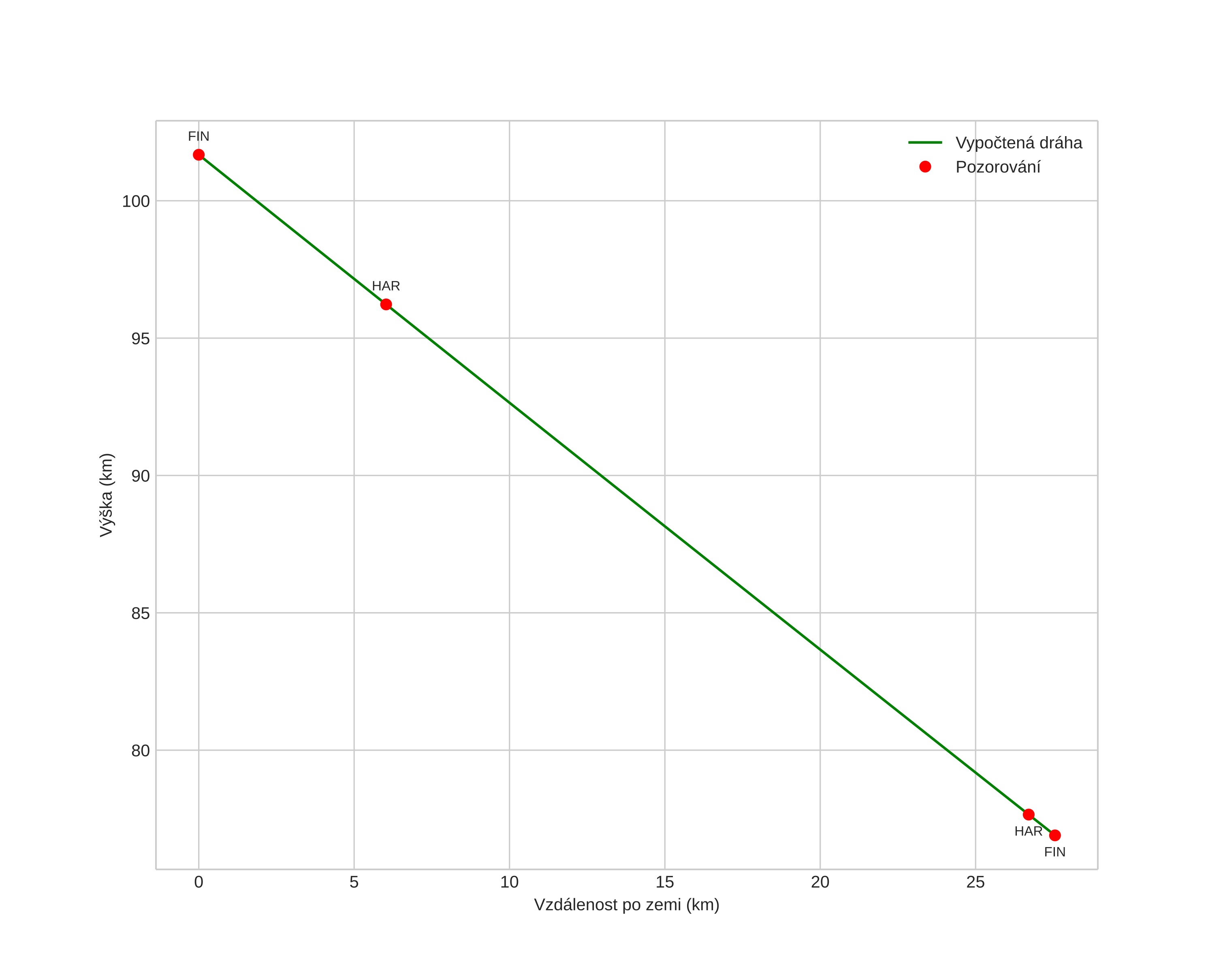
height profile
Atmosférická dráha meteoru:
Počáteční výška: 101,6 km
Konečná výška: 76,8 km
Počáteční poloha: 60,819N 12,698E
Konečná poloha: 60,902N 13,174E
Směr: 70,1°
Sklon: 42,2°
VstupnĂ­ rychlost: 29,9 km/s
Rektascenze radiantu: 04:36 (69,1°)
Deklinace radiantu: 25,7°
MeteorickĂ˝ roj: SevernĂ­ Tauridy
Elementy dráhy meteoroidu:
Vzdálenost v periheliu: 0,383 AU
Excentricita: 0,833
Sklon dráhy: 4,0°
Délka vzestupného uzlu: 240,9°
Argument perihelia: 290,4°
Střední anomálie: 348,0°
Epocha: 2024 NOV 23 03:09:38
orbit plot

NeinteraktivnĂ­ graf | InteraktivnĂ­ graf

position vs time
speed and acceleration