🇳🇴 🇬🇧 🇩🇪 🇨🇿 🇫🇮

Meteor über Malung 2024-11-23 03:09:38 UTC

KML-Datei  |  Interaktive Karte

Die Karte zeigt die Peilungen für den Meteor. Die helleren Linien zeigen die Richtungen von den Beobachtungsorten beim Erscheinen des Meteors, und die dunkleren Linien, wo er zuletzt gesehen wurde. Der blaue Pfeil zeigt die sichtbare Bahn des Meteors.

static map
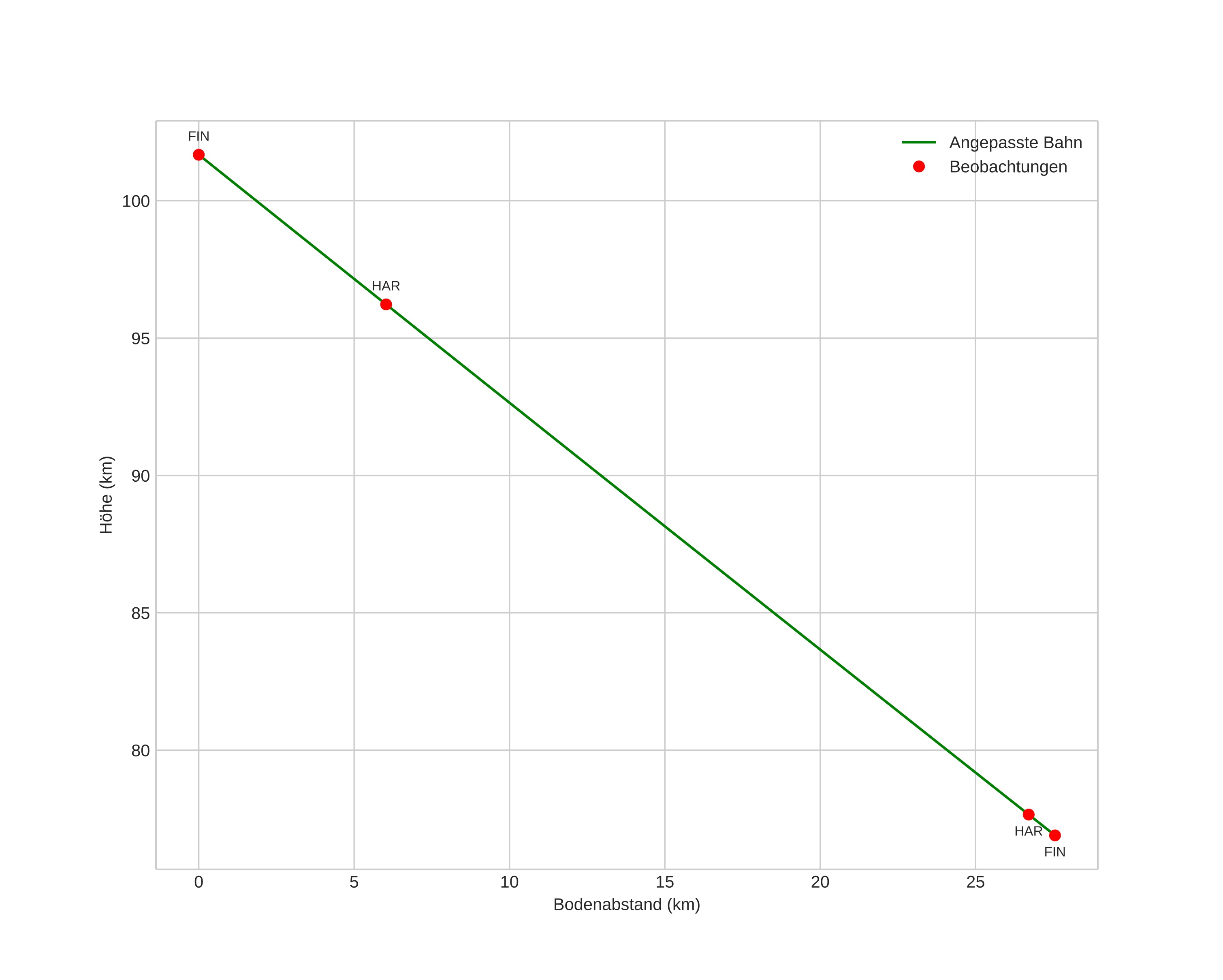
height profile
Atmosphärische Bahn des Meteors:
Anfangshöhe: 101,6 km
Endhöhe: 76,8 km
Startposition: 60,819N 12,698E
Endposition: 60,902N 13,174E
Richtung: 70,1°
Neigungswinkel: 42,2°
Eintrittsgeschwindigkeit: 29,9 km/s
Rektaszension des Radianten: 04:36 (69,1°)
Deklination des Radianten: 25,7°
Meteorstrom: Nördliche Tauriden
Bahnelemente des Meteoroiden:
Periheldistanz: 0,383 AU
Exzentrizität: 0,833
Inklination: 4,0°
Länge des aufsteigenden Knotens: 240,9°
Argument des Perihels: 290,4°
Mittlere Anomalie: 348,0°
Epoche: 2024 NOV 23 03:09:38
orbit plot

Nicht-interaktives Diagramm | Interaktives Diagramm

position vs time
speed and acceleration