🇳🇴 🇬🇧 🇩🇪 🇨🇿 🇫🇮

Meteor, poloha: Malung 2024-11-23 03:40:08 UTC

Soubor KML  |  InteraktivnĂ­ mapa

Mapa zobrazuje dráhy meteoru. Světlejší čáry ukazují směry od pozorovacích stanic při objevení se meteoru a tmavší čáry, kde byl naposledy viděn. Modrá šipka značí viditelnou dráhu meteoru.

static map
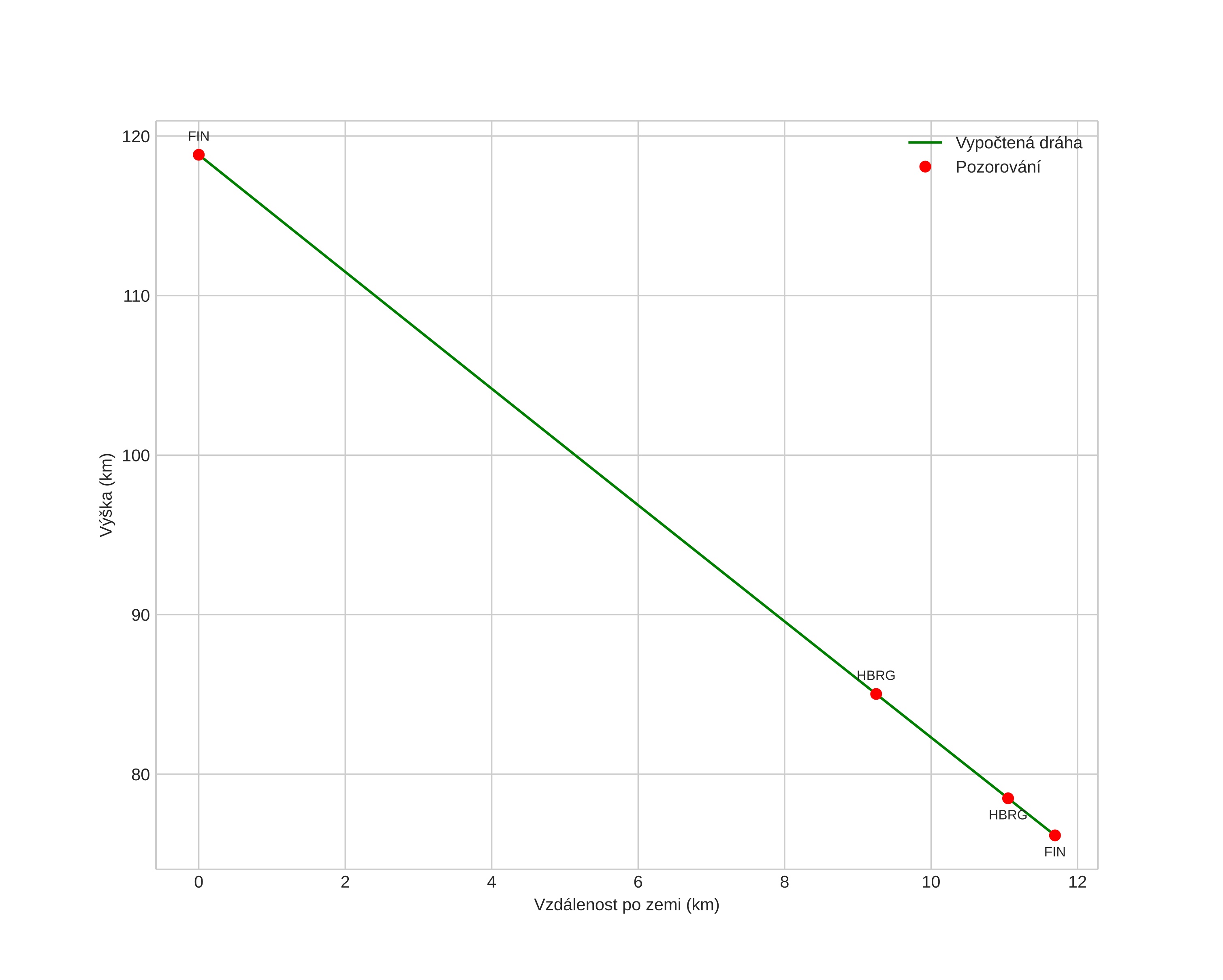
height profile
Atmosférická dráha meteoru:
Počáteční výška: 118,5 km
Konečná výška: 75,5 km
Počáteční poloha: 61,326N 13,186E
Konečná poloha: 61,223N 13,232E
Směr: 167,9°
Sklon: 74,8°
VstupnĂ­ rychlost: 63,1 km/s
Rektascenze radiantu: 07:43 (116,0°)
Deklinace radiantu: 75,8°
MeteorickĂ˝ roj: sporadickĂ˝
Elementy dráhy meteoroidu:
Vzdálenost v periheliu: 0,809 AU
Excentricita: 2,438
Sklon dráhy: 82,4°
Délka vzestupného uzlu: 241,0°
Argument perihelia: 221,8°
Střední anomálie: -44,6°
Epocha: 2024 NOV 23 03:40:08
orbit plot

NeinteraktivnĂ­ graf | InteraktivnĂ­ graf

position vs time
speed and acceleration