🇳🇴 🇬🇧 🇩🇪 🇨🇿 🇫🇮

Meteor Malungin yllä 2024-11-23 03:40:08 UTC

KML-tiedosto  |  Interaktiivinen kartta

Kartta näyttää meteorin suuntahavainnot. Vaaleammat viivat näyttävät suunnat havaintoasemilta meteorin ilmestyessä, ja tummemmat viivat näyttävät, missä se viimeksi nähtiin. Sininen nuoli näyttää meteorin näkyvän lennon.

static map
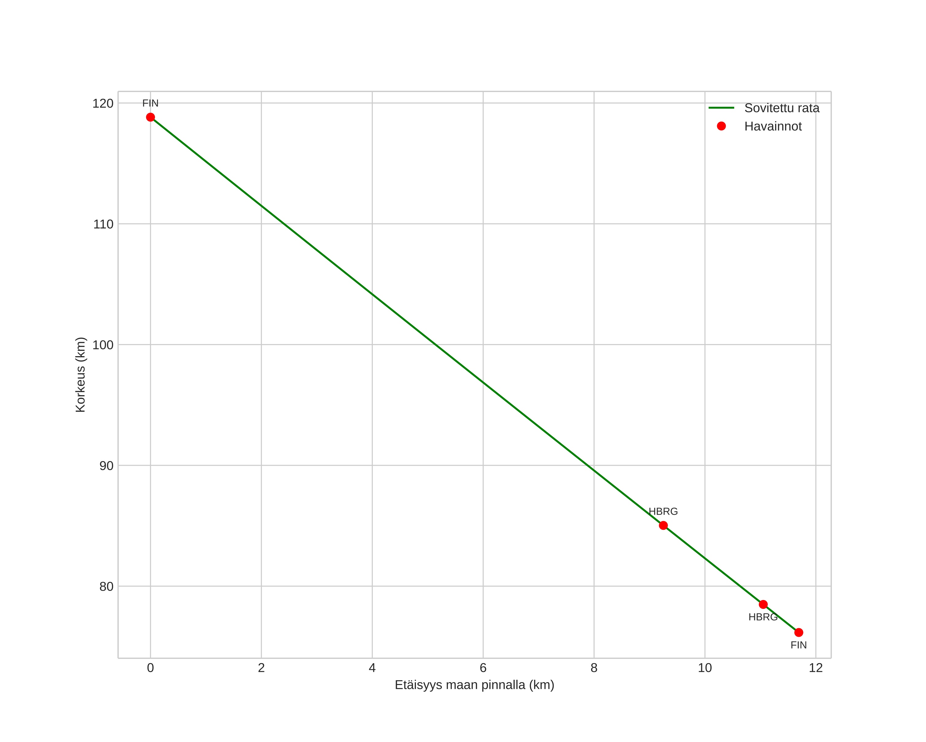
height profile
Meteorin ilmakehärata:
Alkukorkeus: 118,5 km
Loppukorkeus: 75,5 km
Alkupiste: 61,326N 13,186E
Loppupiste: 61,223N 13,232E
Suunta: 167,9°
Kallistuskulma: 74,8°
Tulonopeus: 63,1 km/s
Radiantin R,A,: 07:43 (116,0°)
Radiantin Dekl,: 75,8°
Meteoriparvi: Sporadinen
Meteoroidin rataelementit:
Perihelietäisyys: 0,809 AU
Eksentrisyys: 2,438
Inklinaatio: 82,4°
Nousevan solmun pituus: 241,0°
Perihelin argumentti: 221,8°
Keskianomalia: -44,6°
Epookki: 2024 NOV 23 03:40:08
orbit plot

Ei-interaktiivinen kuvaaja | Interaktiivinen kuvaaja

position vs time
speed and acceleration