🇳🇴 🇬🇧 🇩🇪 🇨🇿 🇫🇮

Meteor, poloha: Ekshärad 2024-11-23 03:42:11 UTC

Soubor KML  |  InteraktivnĂ­ mapa

Mapa zobrazuje dráhy meteoru. Světlejší čáry ukazují směry od pozorovacích stanic při objevení se meteoru a tmavší čáry, kde byl naposledy viděn. Modrá šipka značí viditelnou dráhu meteoru.

static map
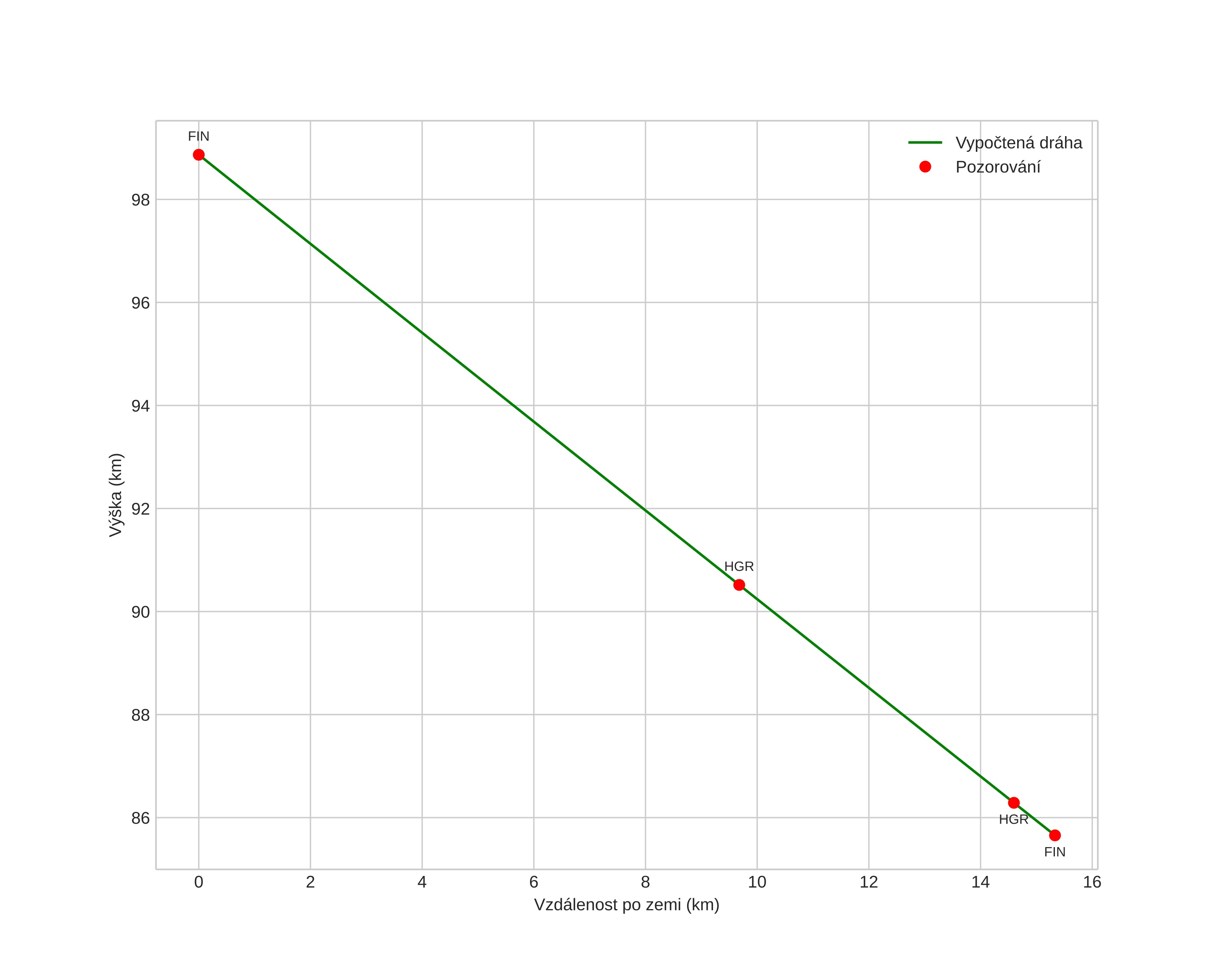
height profile
Atmosférická dráha meteoru:
Počáteční výška: 98,7 km
Konečná výška: 85,7 km
Počáteční poloha: 60,466N 13,086E
Konečná poloha: 60,555N 13,298E
Směr: 49,1°
Sklon: 40,4°
VstupnĂ­ rychlost: 50,2 km/s
Rektascenze radiantu: 06:11 (93,0°)
Deklinace radiantu: 17,8°
MeteorickĂ˝ roj: sporadickĂ˝
Elementy dráhy meteoroidu:
Vzdálenost v periheliu: 0,023 AU
Excentricita: 1,000
Sklon dráhy: 47,4°
Délka vzestupného uzlu: 61,0°
Argument perihelia: 162,4°
Střední anomálie: 360,0°
Epocha: 2024 NOV 23 03:42:11
orbit plot

NeinteraktivnĂ­ graf | InteraktivnĂ­ graf

position vs time
speed and acceleration