🇳🇴 🇬🇧 🇩🇪 🇨🇿 🇫🇮

Meteor over Ekshärad 2024-11-23 03:42:11 UTC

KML file  |  Interactive map

The map shows the bearings for the meteor. The lighter lines show the directions from the observation sites at the meteor's appearance, and the darker lines show where it was last seen. The blue arrow indicates the visible path of the meteor.

static map
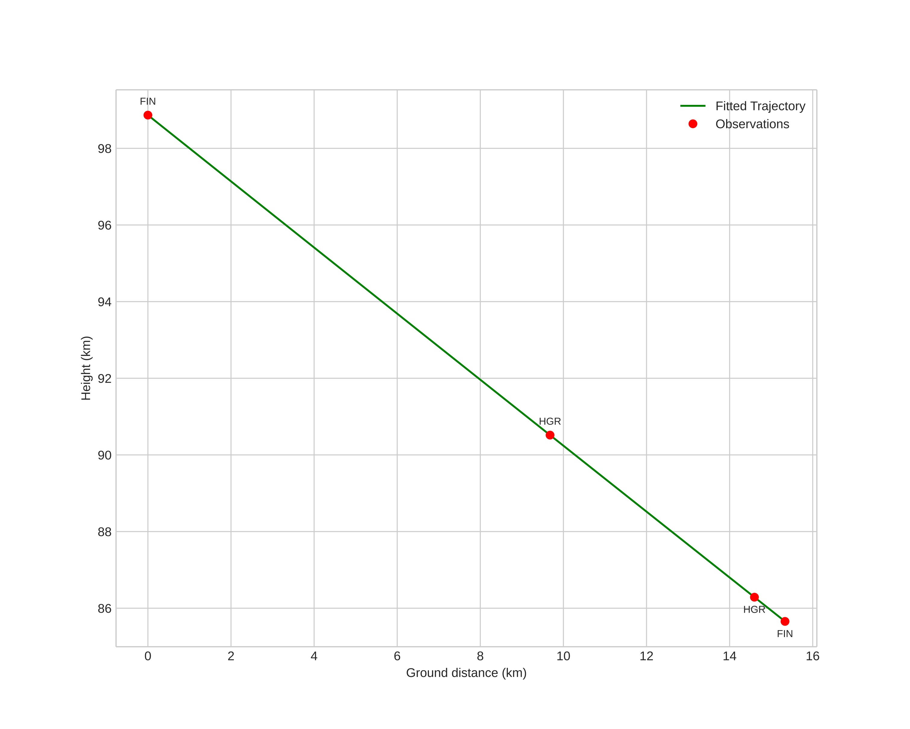
height profile
Meteor's Atmospheric Trajectory:
Start height: 98.7 km
End height: 85.7 km
Start position: 60.466N 13.086E
End position: 60.555N 13.298E
Direction: 49.1°
Inclination angle: 40.4°
Entry speed: 50.2 km/s
Radiant R.A.: 06:11 (93.0°)
Radiant Dec.: 17.8°
Meteor Shower: sporadic
Meteoroid's Orbital Elements:
Perihelion distance: 0.023 AU
Eccentricity: 1.000
Inclination: 47.4°
Long. of Asc. Node: 61.0°
Argument of Perihelion: 162.4°
Mean Anomaly: 360.0°
Epoch: 2024 NOV 23 03:42:11
orbit plot

Non-interactive plot | Interactive plot

position vs time
speed and acceleration

Finnskogen (FIN) cam7


gnomonic
Videos
• Gnomonic
• Gnomonic with coordinates
• Original
• Original with coordinates
Images
• Gnomonic
• Gnomonic with coordinates
• Uncorrected gnomonic with coordinates
• Gnomonic with labels
• Uncorrected gnomonic with labels
• Original
• Original with coordinates
Text Files
• Detection
• Observation
• Coordinates
• Log
Brightness

Hagar (HGR) cam3


gnomonic
Videos
• Gnomonic
• Gnomonic with coordinates
• Original
• Original with coordinates
Images
• Gnomonic
• Gnomonic with coordinates
• Uncorrected gnomonic with coordinates
• Gnomonic with labels
• Uncorrected gnomonic with labels
• Original
• Original with coordinates
Text Files
• Detection
• Observation
• Coordinates
• Log
Brightness