🇳🇴 🇬🇧 🇩🇪 🇨🇿 🇫🇮

Meteor, poloha: Jaren 2024-11-23 04:23:56 UTC

Soubor KML  |  InteraktivnĂ­ mapa

Mapa zobrazuje dráhy meteoru. Světlejší čáry ukazují směry od pozorovacích stanic při objevení se meteoru a tmavší čáry, kde byl naposledy viděn. Modrá šipka značí viditelnou dráhu meteoru.

static map
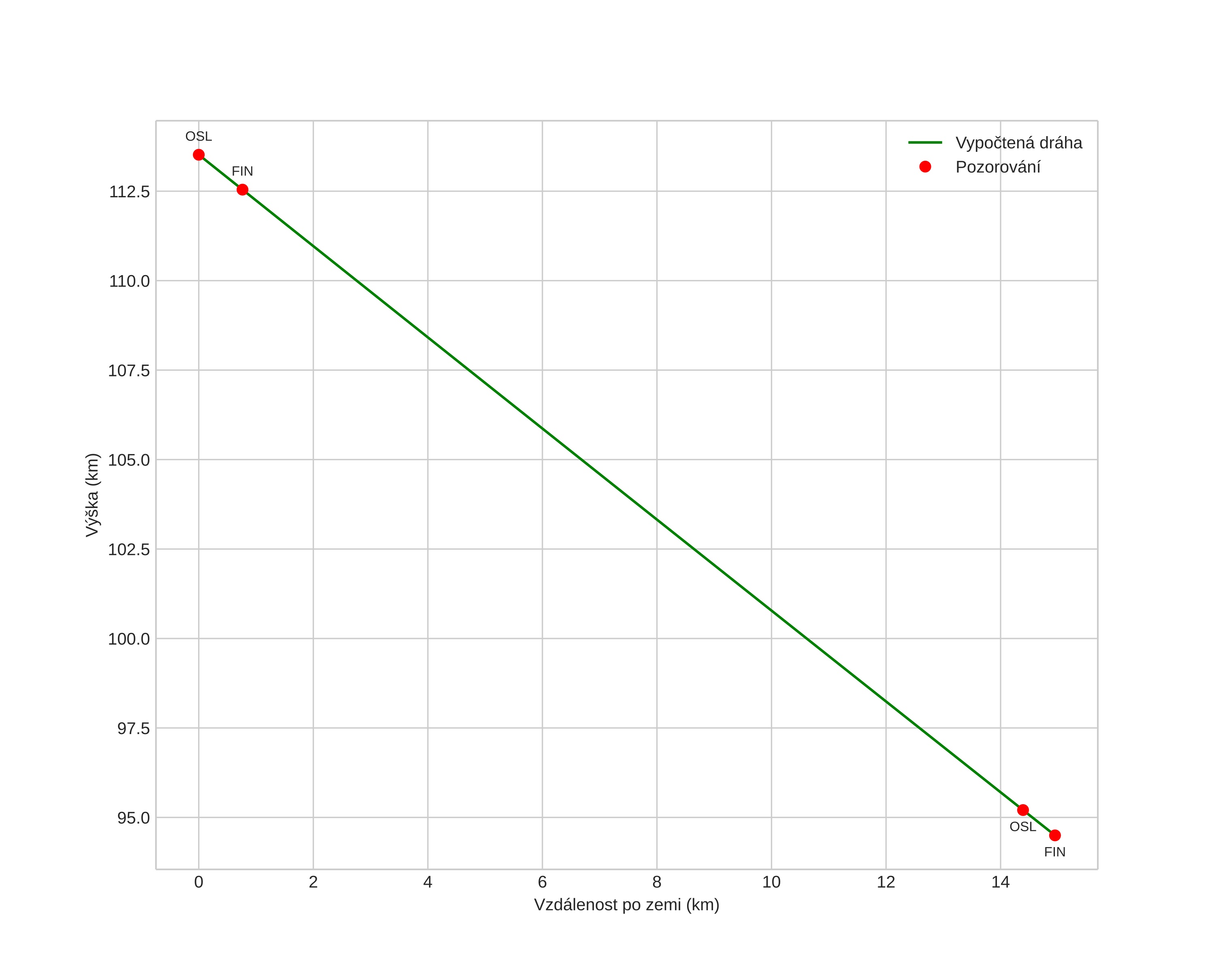
height profile
Atmosférická dráha meteoru:
Počáteční výška: 115,2 km
Konečná výška: 94,1 km
Počáteční poloha: 60,240N 10,628E
Konečná poloha: 60,387N 10,585E
Směr: 351,9°
Sklon: 51,9°
VstupnĂ­ rychlost: 69,6 km/s
Rektascenze radiantu: 09:36 (144,0°)
Deklinace radiantu: 22,1°
MeteorickĂ˝ roj: sporadickĂ˝
Elementy dráhy meteoroidu:
Vzdálenost v periheliu: 0,848 AU
Excentricita: 0,829
Sklon dráhy: 166,3°
Délka vzestupného uzlu: 241,0°
Argument perihelia: 226,5°
Střední anomálie: 357,3°
Epocha: 2024 NOV 23 04:23:56
orbit plot

NeinteraktivnĂ­ graf | InteraktivnĂ­ graf

position vs time
speed and acceleration