🇳🇴 🇬🇧 🇩🇪 🇨🇿 🇫🇮

Meteor Jarenin yllä 2024-11-23 04:23:56 UTC

KML-tiedosto  |  Interaktiivinen kartta

Kartta näyttää meteorin suuntahavainnot. Vaaleammat viivat näyttävät suunnat havaintoasemilta meteorin ilmestyessä, ja tummemmat viivat näyttävät, missä se viimeksi nähtiin. Sininen nuoli näyttää meteorin näkyvän lennon.

static map
height profile
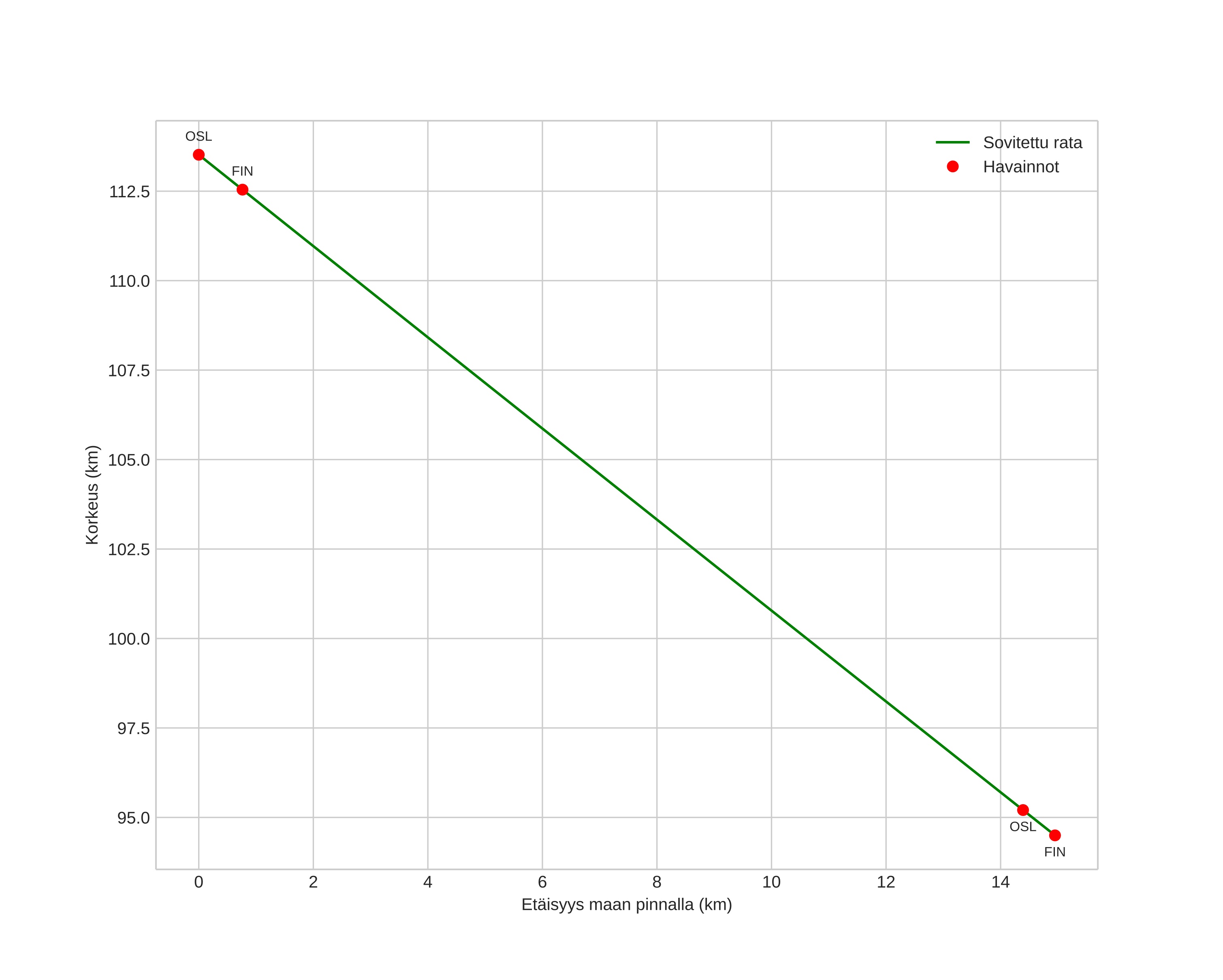
Meteorin ilmakehärata:
Alkukorkeus: 115,2 km
Loppukorkeus: 94,1 km
Alkupiste: 60,240N 10,628E
Loppupiste: 60,387N 10,585E
Suunta: 351,9°
Kallistuskulma: 51,9°
Tulonopeus: 69,6 km/s
Radiantin R,A,: 09:36 (144,0°)
Radiantin Dekl,: 22,1°
Meteoriparvi: Sporadinen
Meteoroidin rataelementit:
Perihelietäisyys: 0,848 AU
Eksentrisyys: 0,829
Inklinaatio: 166,3°
Nousevan solmun pituus: 241,0°
Perihelin argumentti: 226,5°
Keskianomalia: 357,3°
Epookki: 2024 NOV 23 04:23:56
orbit plot

Ei-interaktiivinen kuvaaja | Interaktiivinen kuvaaja

position vs time
speed and acceleration