🇳🇴 🇬🇧 🇩🇪 🇨🇿 🇫🇮

Meteor, poloha: Jaren 2024-11-23 04:23:57 UTC

Soubor KML  |  InteraktivnĂ­ mapa

Mapa zobrazuje dráhy meteoru. Světlejší čáry ukazují směry od pozorovacích stanic při objevení se meteoru a tmavší čáry, kde byl naposledy viděn. Modrá šipka značí viditelnou dráhu meteoru.

static map
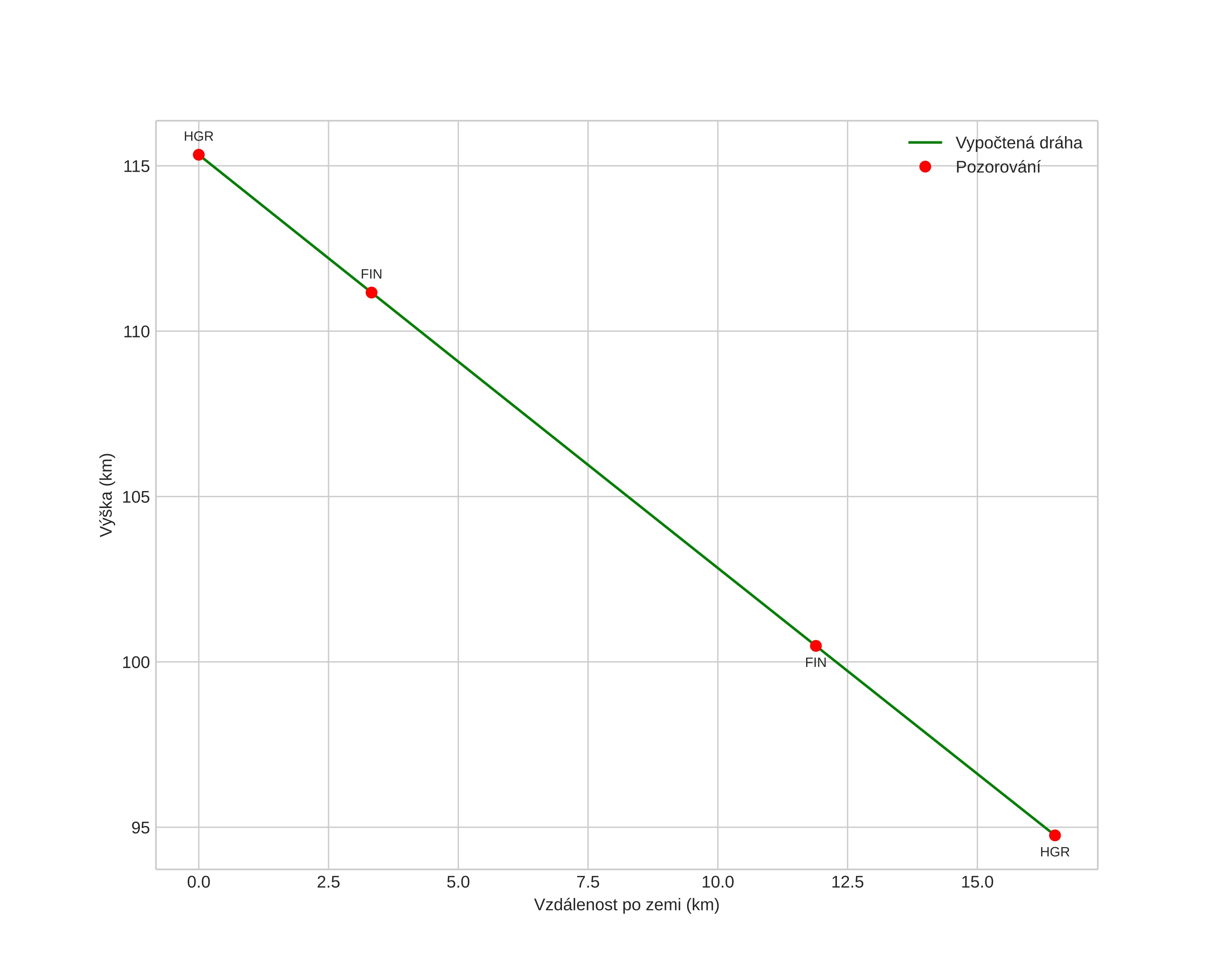
height profile
Atmosférická dráha meteoru:
Počáteční výška: 112,0 km
Konečná výška: 94,5 km
Počáteční poloha: 60,262N 10,620E
Konečná poloha: 60,383N 10,580E
Směr: 350,7°
Sklon: 52,1°
VstupnĂ­ rychlost: 61,8 km/s
Rektascenze radiantu: 09:39 (144,8°)
Deklinace radiantu: 22,3°
MeteorickĂ˝ roj: sporadickĂ˝
Elementy dráhy meteoroidu:
Vzdálenost v periheliu: 0,706 AU
Excentricita: 0,405
Sklon dráhy: 164,0°
Délka vzestupného uzlu: 241,0°
Argument perihelia: 269,3°
Střední anomálie: 315,7°
Epocha: 2024 NOV 23 04:23:57
orbit plot

NeinteraktivnĂ­ graf | InteraktivnĂ­ graf

position vs time
speed and acceleration