🇳🇴 🇬🇧 🇩🇪 🇨🇿 🇫🇮

Meteor Jarenin yllä 2024-11-23 04:23:57 UTC

KML-tiedosto  |  Interaktiivinen kartta

Kartta näyttää meteorin suuntahavainnot. Vaaleammat viivat näyttävät suunnat havaintoasemilta meteorin ilmestyessä, ja tummemmat viivat näyttävät, missä se viimeksi nähtiin. Sininen nuoli näyttää meteorin näkyvän lennon.

static map
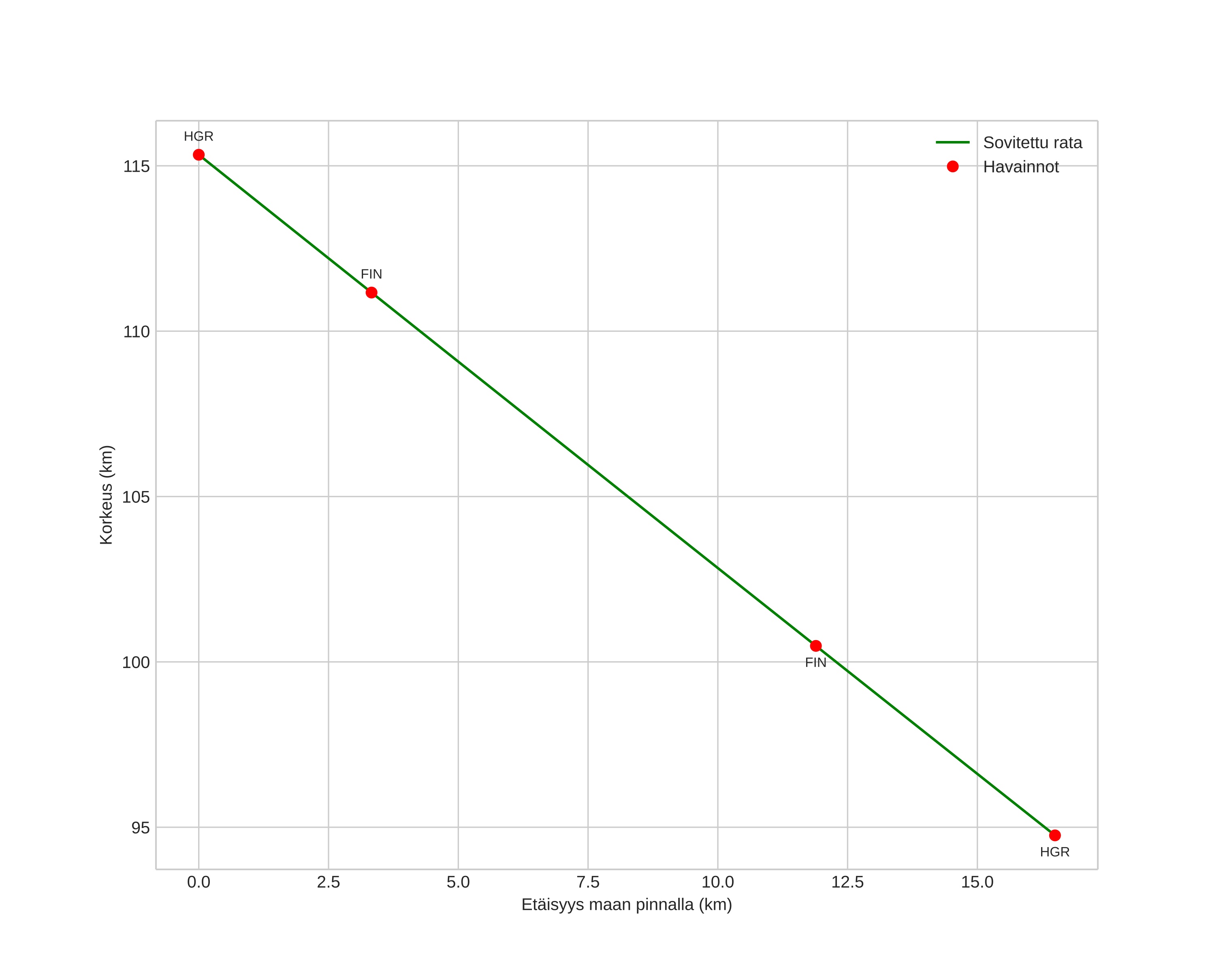
height profile
Meteorin ilmakehärata:
Alkukorkeus: 112,0 km
Loppukorkeus: 94,5 km
Alkupiste: 60,262N 10,620E
Loppupiste: 60,383N 10,580E
Suunta: 350,7°
Kallistuskulma: 52,1°
Tulonopeus: 61,8 km/s
Radiantin R,A,: 09:39 (144,8°)
Radiantin Dekl,: 22,3°
Meteoriparvi: Sporadinen
Meteoroidin rataelementit:
Perihelietäisyys: 0,706 AU
Eksentrisyys: 0,405
Inklinaatio: 164,0°
Nousevan solmun pituus: 241,0°
Perihelin argumentti: 269,3°
Keskianomalia: 315,7°
Epookki: 2024 NOV 23 04:23:57
orbit plot

Ei-interaktiivinen kuvaaja | Interaktiivinen kuvaaja

position vs time
speed and acceleration