🇳🇴 🇬🇧 🇩🇪 🇨🇿 🇫🇮

Meteor, poloha: Spetalen 2024-11-23 04:27:43 UTC

Soubor KML  |  InteraktivnĂ­ mapa

Mapa zobrazuje dráhy meteoru. Světlejší čáry ukazují směry od pozorovacích stanic při objevení se meteoru a tmavší čáry, kde byl naposledy viděn. Modrá šipka značí viditelnou dráhu meteoru.

static map
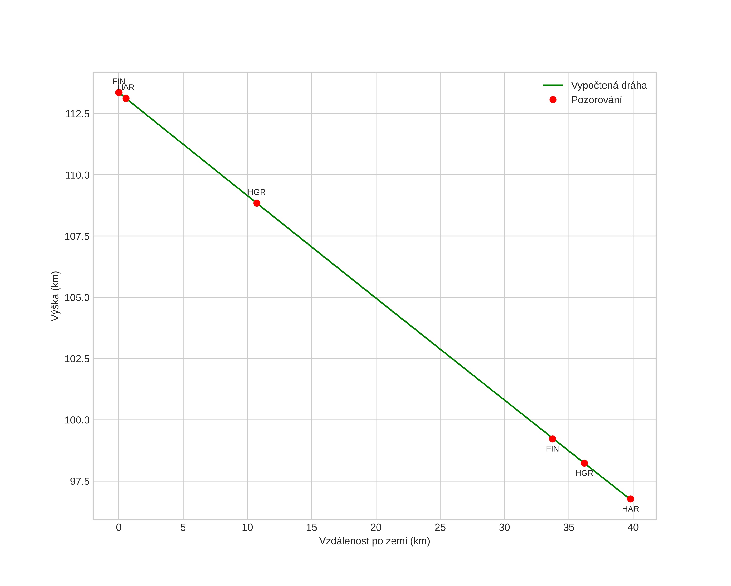
height profile
Atmosférická dráha meteoru:
Počáteční výška: 113,6 km
Konečná výška: 99,0 km
Počáteční poloha: 59,769N 12,278E
Konečná poloha: 59,991N 11,823E
Směr: 314,6°
Sklon: 22,4°
VstupnĂ­ rychlost: 73,0 km/s
Rektascenze radiantu: 12:10 (182,7°)
Deklinace radiantu: -0,2°
MeteorickĂ˝ roj: sporadickĂ˝
Elementy dráhy meteoroidu:
Vzdálenost v periheliu: 0,467 AU
Excentricita: 1,299
Sklon dráhy: 177,9°
Délka vzestupného uzlu: 241,1°
Argument perihelia: 93,9°
Střední anomálie: 16,4°
Epocha: 2024 NOV 23 04:27:43
orbit plot

NeinteraktivnĂ­ graf | InteraktivnĂ­ graf

position vs time
speed and acceleration