🇳🇴 🇬🇧 🇩🇪 🇨🇿 🇫🇮

Meteor über Spetalen 2024-11-23 04:27:43 UTC

KML-Datei  |  Interaktive Karte

Die Karte zeigt die Peilungen für den Meteor. Die helleren Linien zeigen die Richtungen von den Beobachtungsorten beim Erscheinen des Meteors, und die dunkleren Linien, wo er zuletzt gesehen wurde. Der blaue Pfeil zeigt die sichtbare Bahn des Meteors.

static map
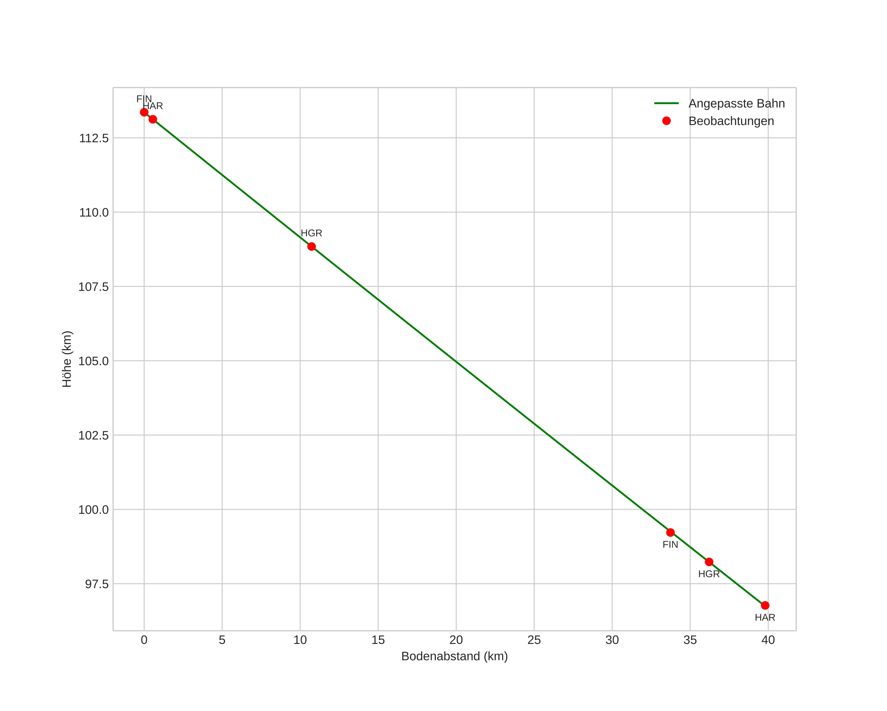
height profile
Atmosphärische Bahn des Meteors:
Anfangshöhe: 113,6 km
Endhöhe: 99,0 km
Startposition: 59,769N 12,278E
Endposition: 59,991N 11,823E
Richtung: 314,6°
Neigungswinkel: 22,4°
Eintrittsgeschwindigkeit: 73,0 km/s
Rektaszension des Radianten: 12:10 (182,7°)
Deklination des Radianten: -0,2°
Meteorstrom: sporadisch
Bahnelemente des Meteoroiden:
Periheldistanz: 0,467 AU
Exzentrizität: 1,299
Inklination: 177,9°
Länge des aufsteigenden Knotens: 241,1°
Argument des Perihels: 93,9°
Mittlere Anomalie: 16,4°
Epoche: 2024 NOV 23 04:27:43
orbit plot

Nicht-interaktives Diagramm | Interaktives Diagramm

position vs time
speed and acceleration