🇳🇴 🇬🇧 🇩🇪 🇨🇿 🇫🇮

Meteor, poloha: Torsby 2024-11-23 05:33:14 UTC

Soubor KML  |  InteraktivnĂ­ mapa

Mapa zobrazuje dráhy meteoru. Světlejší čáry ukazují směry od pozorovacích stanic při objevení se meteoru a tmavší čáry, kde byl naposledy viděn. Modrá šipka značí viditelnou dráhu meteoru.

static map
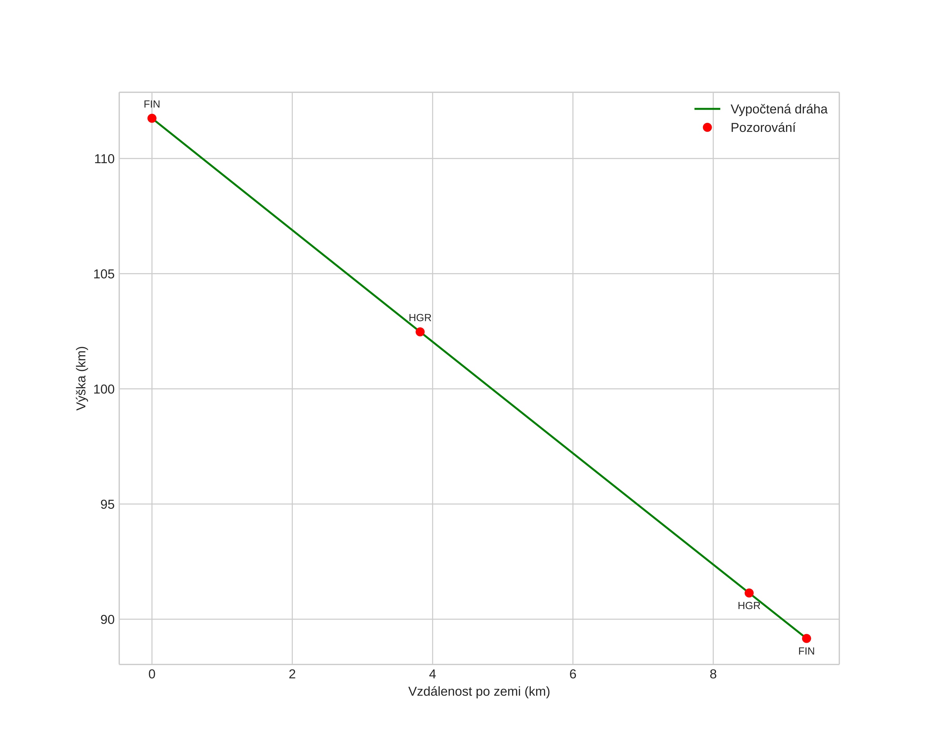
height profile
Atmosférická dráha meteoru:
Počáteční výška: 111,7 km
Konečná výška: 89,2 km
Počáteční poloha: 60,801N 12,963E
Konečná poloha: 60,879N 12,902E
Směr: 339,3°
Sklon: 67,5°
VstupnĂ­ rychlost: 72,9 km/s
Rektascenze radiantu: 11:13 (168,4°)
Deklinace radiantu: 39,1°
MeteorickĂ˝ roj: sporadickĂ˝
Elementy dráhy meteoroidu:
Vzdálenost v periheliu: 0,987 AU
Excentricita: 1,641
Sklon dráhy: 130,3°
Délka vzestupného uzlu: 241,1°
Argument perihelia: 177,6°
Střední anomálie: 0,8°
Epocha: 2024 NOV 23 05:33:14
orbit plot

NeinteraktivnĂ­ graf | InteraktivnĂ­ graf

position vs time
speed and acceleration