🇳🇴 🇬🇧 🇩🇪 🇨🇿 🇫🇮

Meteor Torsbyn yllä 2024-11-23 05:33:14 UTC

KML-tiedosto  |  Interaktiivinen kartta

Kartta näyttää meteorin suuntahavainnot. Vaaleammat viivat näyttävät suunnat havaintoasemilta meteorin ilmestyessä, ja tummemmat viivat näyttävät, missä se viimeksi nähtiin. Sininen nuoli näyttää meteorin näkyvän lennon.

static map
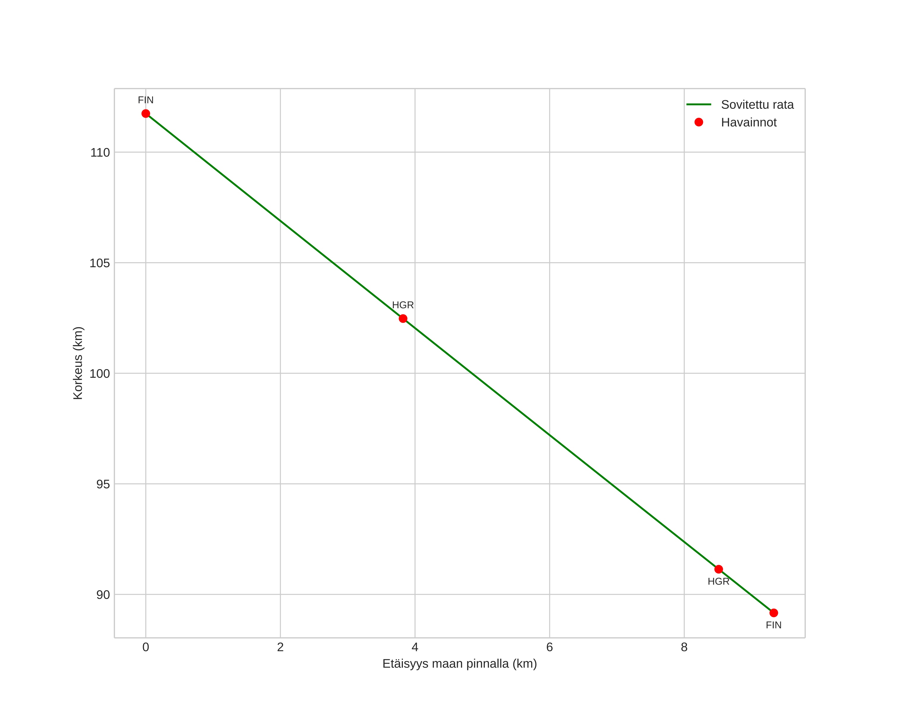
height profile
Meteorin ilmakehärata:
Alkukorkeus: 111,7 km
Loppukorkeus: 89,2 km
Alkupiste: 60,801N 12,963E
Loppupiste: 60,879N 12,902E
Suunta: 339,3°
Kallistuskulma: 67,5°
Tulonopeus: 72,9 km/s
Radiantin R,A,: 11:13 (168,4°)
Radiantin Dekl,: 39,1°
Meteoriparvi: Sporadinen
Meteoroidin rataelementit:
Perihelietäisyys: 0,987 AU
Eksentrisyys: 1,641
Inklinaatio: 130,3°
Nousevan solmun pituus: 241,1°
Perihelin argumentti: 177,6°
Keskianomalia: 0,8°
Epookki: 2024 NOV 23 05:33:14
orbit plot

Ei-interaktiivinen kuvaaja | Interaktiivinen kuvaaja

position vs time
speed and acceleration