🇳🇴 🇬🇧 🇩🇪 🇨🇿 🇫🇮

Meteor, poloha: Hofors 2024-11-23 16:54:36 UTC

Soubor KML  |  InteraktivnĂ­ mapa

Mapa zobrazuje dráhy meteoru. Světlejší čáry ukazují směry od pozorovacích stanic při objevení se meteoru a tmavší čáry, kde byl naposledy viděn. Modrá šipka značí viditelnou dráhu meteoru.

static map
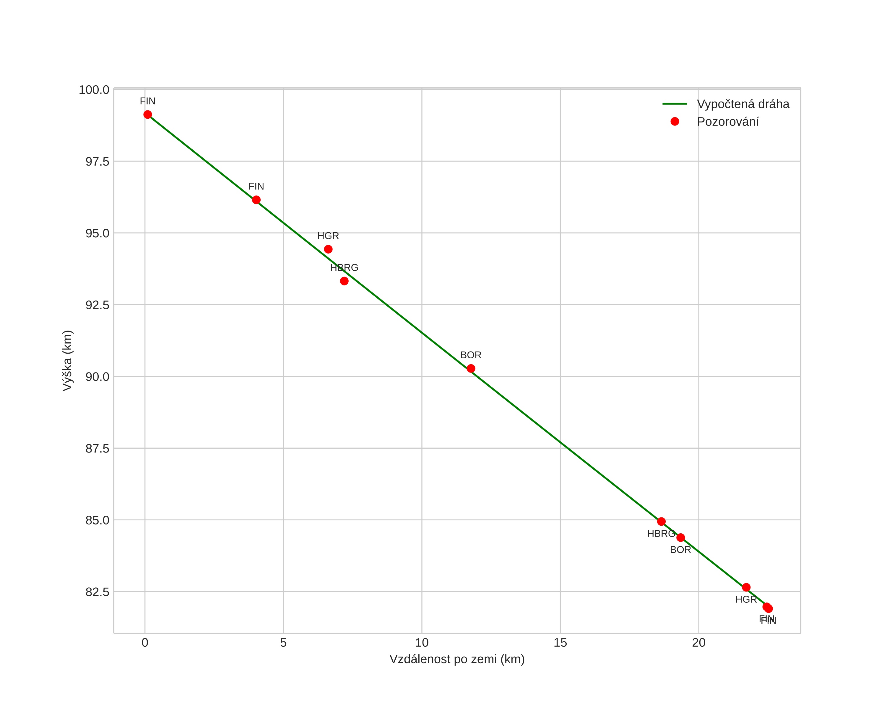
height profile
Atmosférická dráha meteoru:
Počáteční výška: 99,2 km
Konečná výška: 82,0 km
Počáteční poloha: 60,611N 16,105E
Konečná poloha: 60,431N 16,296E
Směr: 152,3°
Sklon: 37,4°
VstupnĂ­ rychlost: 50,9 km/s
Rektascenze radiantu: 13:27 (202,0°)
Deklinace radiantu: 60,3°
MeteorickĂ˝ roj: sporadickĂ˝
Elementy dráhy meteoroidu:
Vzdálenost v periheliu: 0,983 AU
Excentricita: 1,140
Sklon dráhy: 82,3°
Délka vzestupného uzlu: 241,6°
Argument perihelia: 172,9°
Střední anomálie: 0,3°
Epocha: 2024 NOV 23 16:54:36
orbit plot

NeinteraktivnĂ­ graf | InteraktivnĂ­ graf

position vs time
speed and acceleration