🇳🇴 🇬🇧 🇩🇪 🇨🇿 🇫🇮

Meteor Hoforsin yllä 2024-11-23 16:54:36 UTC

KML-tiedosto  |  Interaktiivinen kartta

Kartta näyttää meteorin suuntahavainnot. Vaaleammat viivat näyttävät suunnat havaintoasemilta meteorin ilmestyessä, ja tummemmat viivat näyttävät, missä se viimeksi nähtiin. Sininen nuoli näyttää meteorin näkyvän lennon.

static map
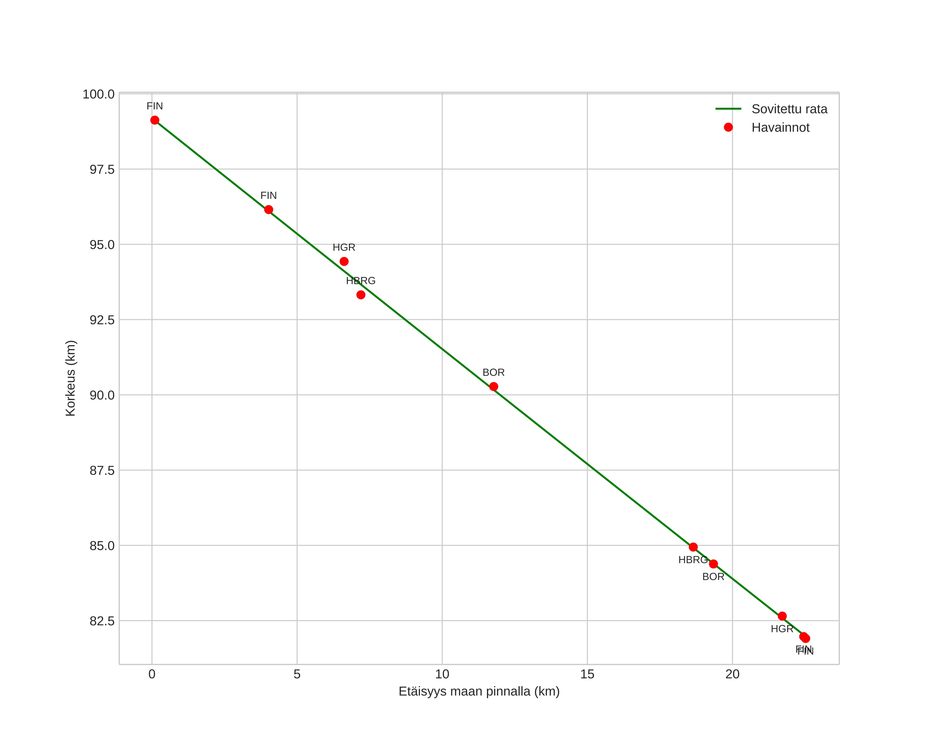
height profile
Meteorin ilmakehärata:
Alkukorkeus: 99,2 km
Loppukorkeus: 82,0 km
Alkupiste: 60,611N 16,105E
Loppupiste: 60,431N 16,296E
Suunta: 152,3°
Kallistuskulma: 37,4°
Tulonopeus: 50,9 km/s
Radiantin R,A,: 13:27 (202,0°)
Radiantin Dekl,: 60,3°
Meteoriparvi: Sporadinen
Meteoroidin rataelementit:
Perihelietäisyys: 0,983 AU
Eksentrisyys: 1,140
Inklinaatio: 82,3°
Nousevan solmun pituus: 241,6°
Perihelin argumentti: 172,9°
Keskianomalia: 0,3°
Epookki: 2024 NOV 23 16:54:36
orbit plot

Ei-interaktiivinen kuvaaja | Interaktiivinen kuvaaja

position vs time
speed and acceleration