🇳🇴 🇬🇧 🇩🇪 🇨🇿 🇫🇮

Meteor, poloha: Aas 2024-11-23 19:44:12 UTC

Soubor KML  |  InteraktivnĂ­ mapa

Mapa zobrazuje dráhy meteoru. Světlejší čáry ukazují směry od pozorovacích stanic při objevení se meteoru a tmavší čáry, kde byl naposledy viděn. Modrá šipka značí viditelnou dráhu meteoru.

static map
height profile
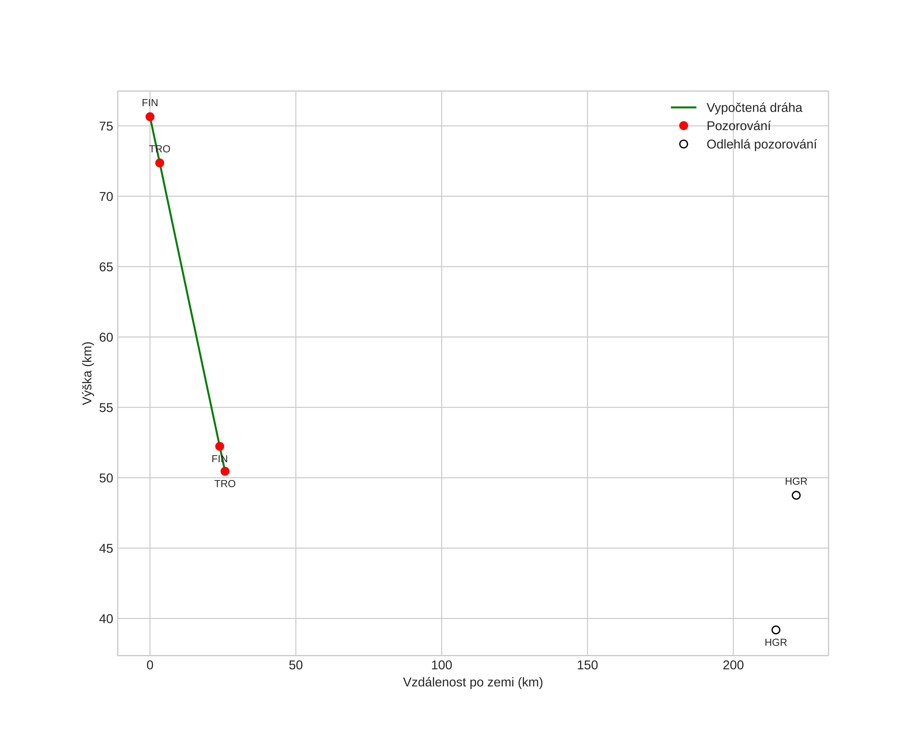
Atmosférická dráha meteoru:
Počáteční výška: 76,8 km
Konečná výška: 50,7 km
Počáteční poloha: 62,695N 12,338E
Konečná poloha: 62,897N 12,066E
Směr: 328,4°
Sklon: 44,8°
VstupnĂ­ rychlost: 17,1 km/s
Rektascenze radiantu: 02:22 (35,5°)
Deklinace radiantu: 14,0°
MeteorickĂ˝ roj: sporadickĂ˝
Elementy dráhy meteoroidu:
Vzdálenost v periheliu: 0,850 AU
Excentricita: 0,621
Sklon dráhy: 0,0°
Délka vzestupného uzlu: 67,1°
Argument perihelia: 45,1°
Střední anomálie: 349,7°
Epocha: 2024 NOV 23 19:44:12
orbit plot

NeinteraktivnĂ­ graf | InteraktivnĂ­ graf

position vs time
speed and acceleration