🇳🇴 🇬🇧 🇩🇪 🇨🇿 🇫🇮

Meteor Aasin yllä 2024-11-23 19:44:12 UTC

KML-tiedosto  |  Interaktiivinen kartta

Kartta näyttää meteorin suuntahavainnot. Vaaleammat viivat näyttävät suunnat havaintoasemilta meteorin ilmestyessä, ja tummemmat viivat näyttävät, missä se viimeksi nähtiin. Sininen nuoli näyttää meteorin näkyvän lennon.

static map
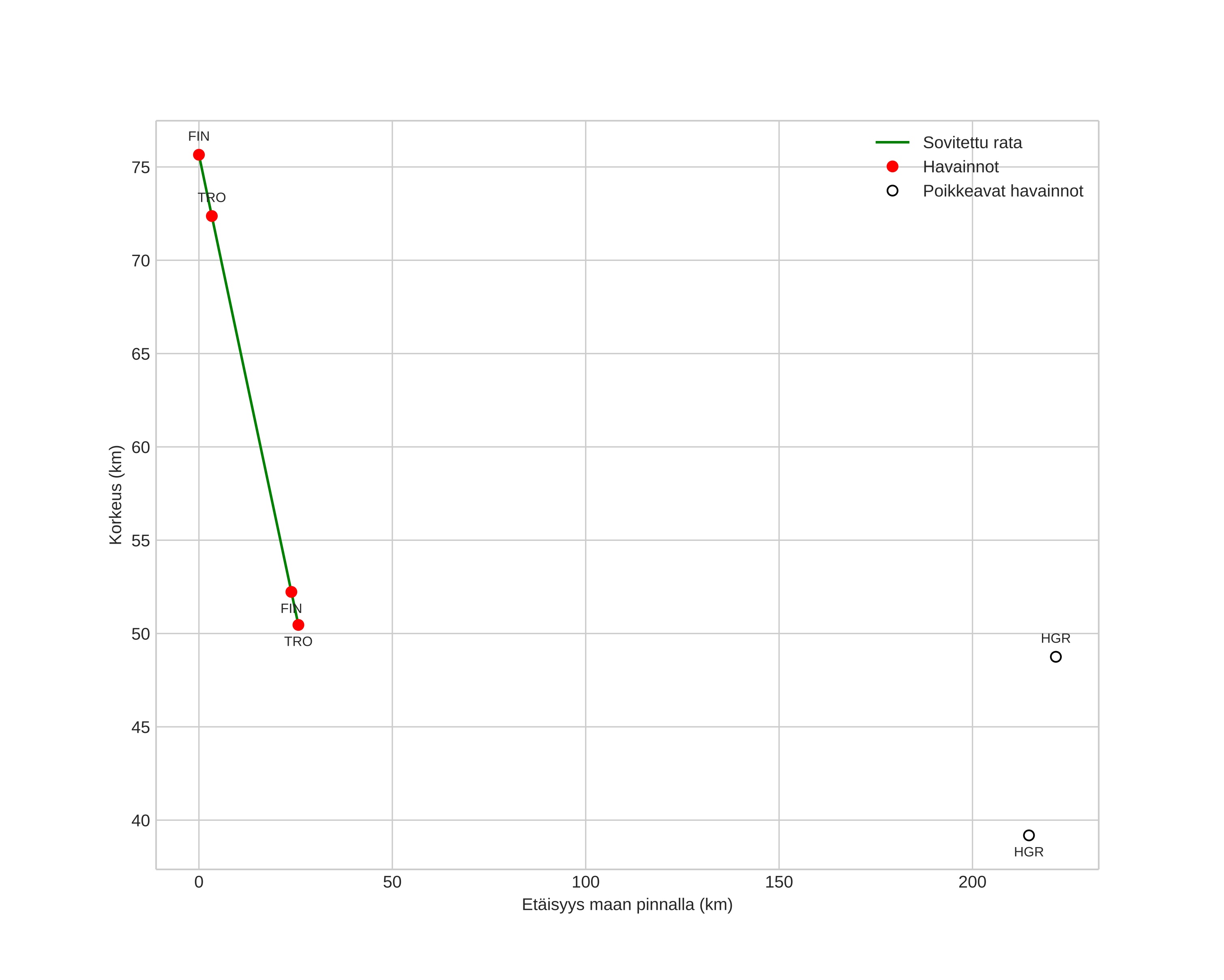
height profile
Meteorin ilmakehärata:
Alkukorkeus: 76,8 km
Loppukorkeus: 50,7 km
Alkupiste: 62,695N 12,338E
Loppupiste: 62,897N 12,066E
Suunta: 328,4°
Kallistuskulma: 44,8°
Tulonopeus: 17,1 km/s
Radiantin R,A,: 02:22 (35,5°)
Radiantin Dekl,: 14,0°
Meteoriparvi: Sporadinen
Meteoroidin rataelementit:
Perihelietäisyys: 0,850 AU
Eksentrisyys: 0,621
Inklinaatio: 0,0°
Nousevan solmun pituus: 67,1°
Perihelin argumentti: 45,1°
Keskianomalia: 349,7°
Epookki: 2024 NOV 23 19:44:12
orbit plot

Ei-interaktiivinen kuvaaja | Interaktiivinen kuvaaja

position vs time
speed and acceleration