🇳🇴 🇬🇧 🇩🇪 🇨🇿 🇫🇮

Meteor, poloha: Rygge 2024-11-23 20:25:25 UTC

Soubor KML  |  InteraktivnĂ­ mapa

Mapa zobrazuje dráhy meteoru. Světlejší čáry ukazují směry od pozorovacích stanic při objevení se meteoru a tmavší čáry, kde byl naposledy viděn. Modrá šipka značí viditelnou dráhu meteoru.

static map
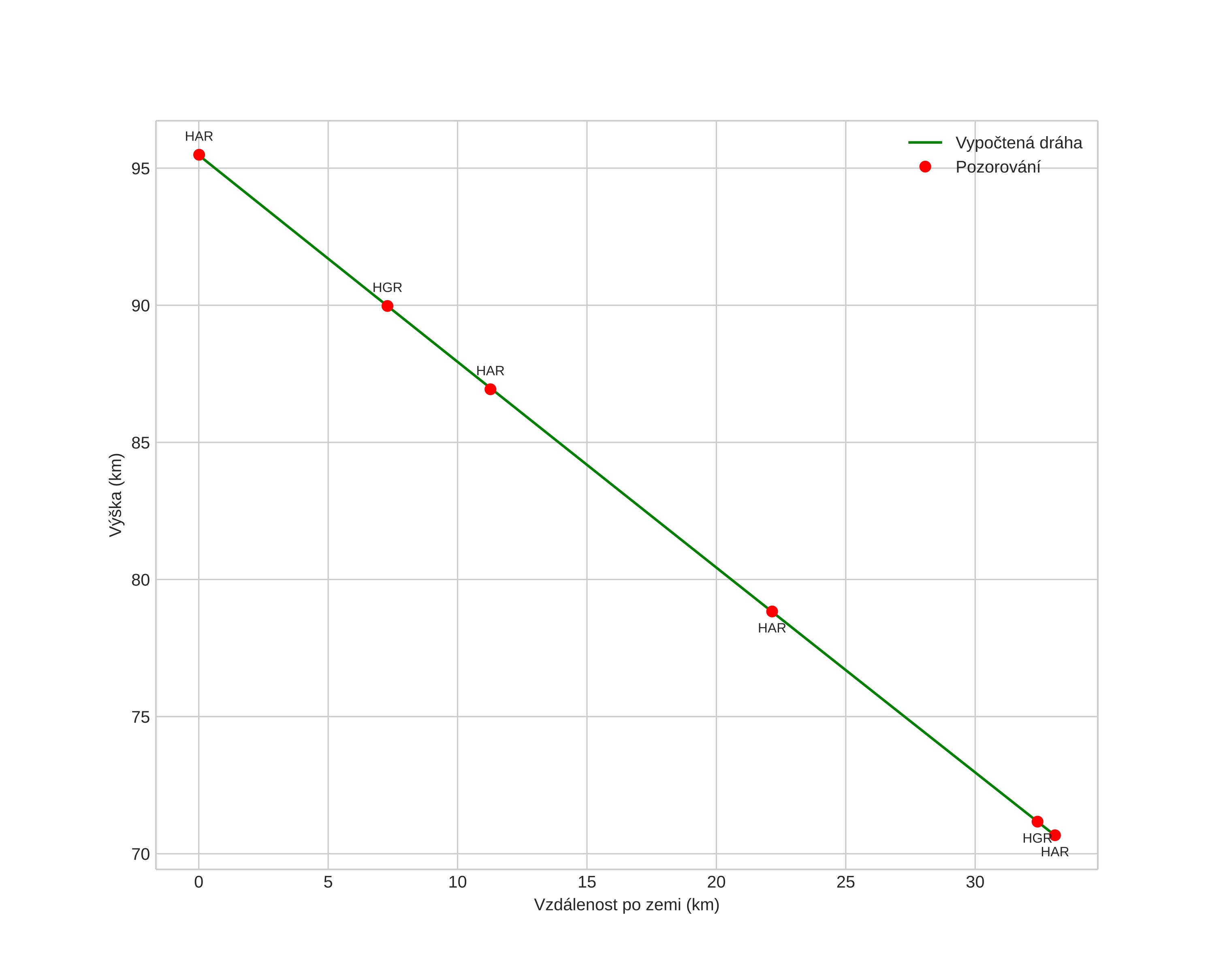
height profile
Atmosférická dráha meteoru:
Počáteční výška: 94,3 km
Konečná výška: 70,3 km
Počáteční poloha: 59,259N 11,181E
Konečná poloha: 59,420N 10,717E
Směr: 304,5°
Sklon: 37,0°
VstupnĂ­ rychlost: 27,5 km/s
Rektascenze radiantu: 04:18 (64,5°)
Deklinace radiantu: 14,3°
MeteorickĂ˝ roj: sporadickĂ˝
Elementy dráhy meteoroidu:
Vzdálenost v periheliu: 0,505 AU
Excentricita: 0,807
Sklon dráhy: 6,0°
Délka vzestupného uzlu: 61,7°
Argument perihelia: 95,3°
Střední anomálie: 349,9°
Epocha: 2024 NOV 23 20:25:25
orbit plot

NeinteraktivnĂ­ graf | InteraktivnĂ­ graf

position vs time
speed and acceleration