🇳🇴 🇬🇧 🇩🇪 🇨🇿 🇫🇮

Meteor Ryggen yllä 2024-11-23 20:25:25 UTC

KML-tiedosto  |  Interaktiivinen kartta

Kartta näyttää meteorin suuntahavainnot. Vaaleammat viivat näyttävät suunnat havaintoasemilta meteorin ilmestyessä, ja tummemmat viivat näyttävät, missä se viimeksi nähtiin. Sininen nuoli näyttää meteorin näkyvän lennon.

static map
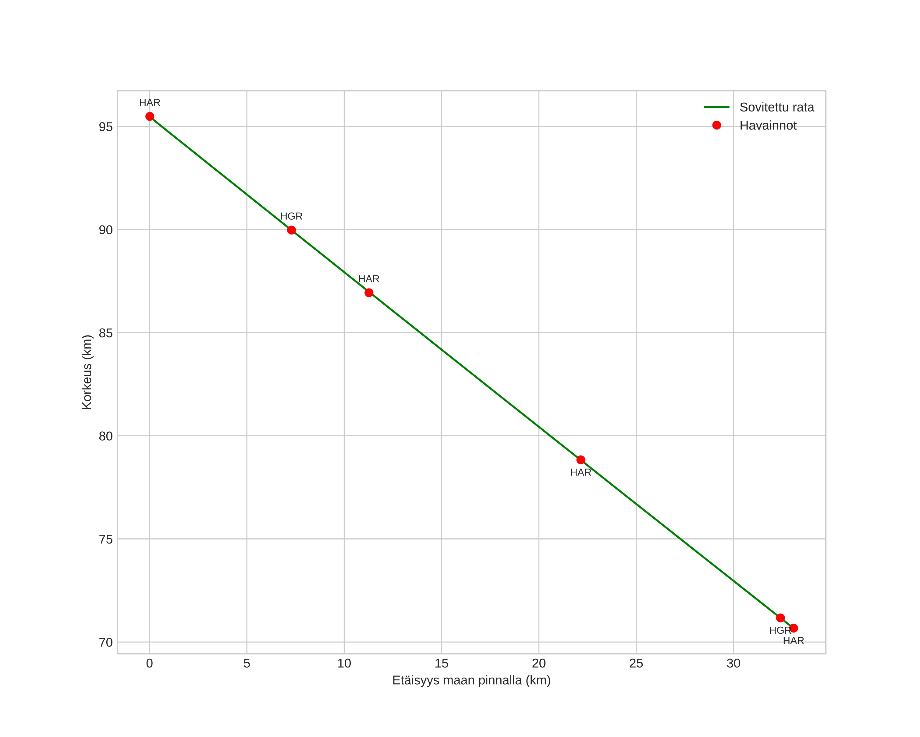
height profile
Meteorin ilmakehärata:
Alkukorkeus: 94,3 km
Loppukorkeus: 70,3 km
Alkupiste: 59,259N 11,181E
Loppupiste: 59,420N 10,717E
Suunta: 304,5°
Kallistuskulma: 37,0°
Tulonopeus: 27,5 km/s
Radiantin R,A,: 04:18 (64,5°)
Radiantin Dekl,: 14,3°
Meteoriparvi: Sporadinen
Meteoroidin rataelementit:
Perihelietäisyys: 0,505 AU
Eksentrisyys: 0,807
Inklinaatio: 6,0°
Nousevan solmun pituus: 61,7°
Perihelin argumentti: 95,3°
Keskianomalia: 349,9°
Epookki: 2024 NOV 23 20:25:25
orbit plot

Ei-interaktiivinen kuvaaja | Interaktiivinen kuvaaja

position vs time
speed and acceleration