🇳🇴 🇬🇧 🇩🇪 🇨🇿 🇫🇮

Meteor, poloha: Kongsvinger 2024-11-25 22:11:10 UTC

Soubor KML  |  InteraktivnĂ­ mapa

Mapa zobrazuje dráhy meteoru. Světlejší čáry ukazují směry od pozorovacích stanic při objevení se meteoru a tmavší čáry, kde byl naposledy viděn. Modrá šipka značí viditelnou dráhu meteoru.

static map
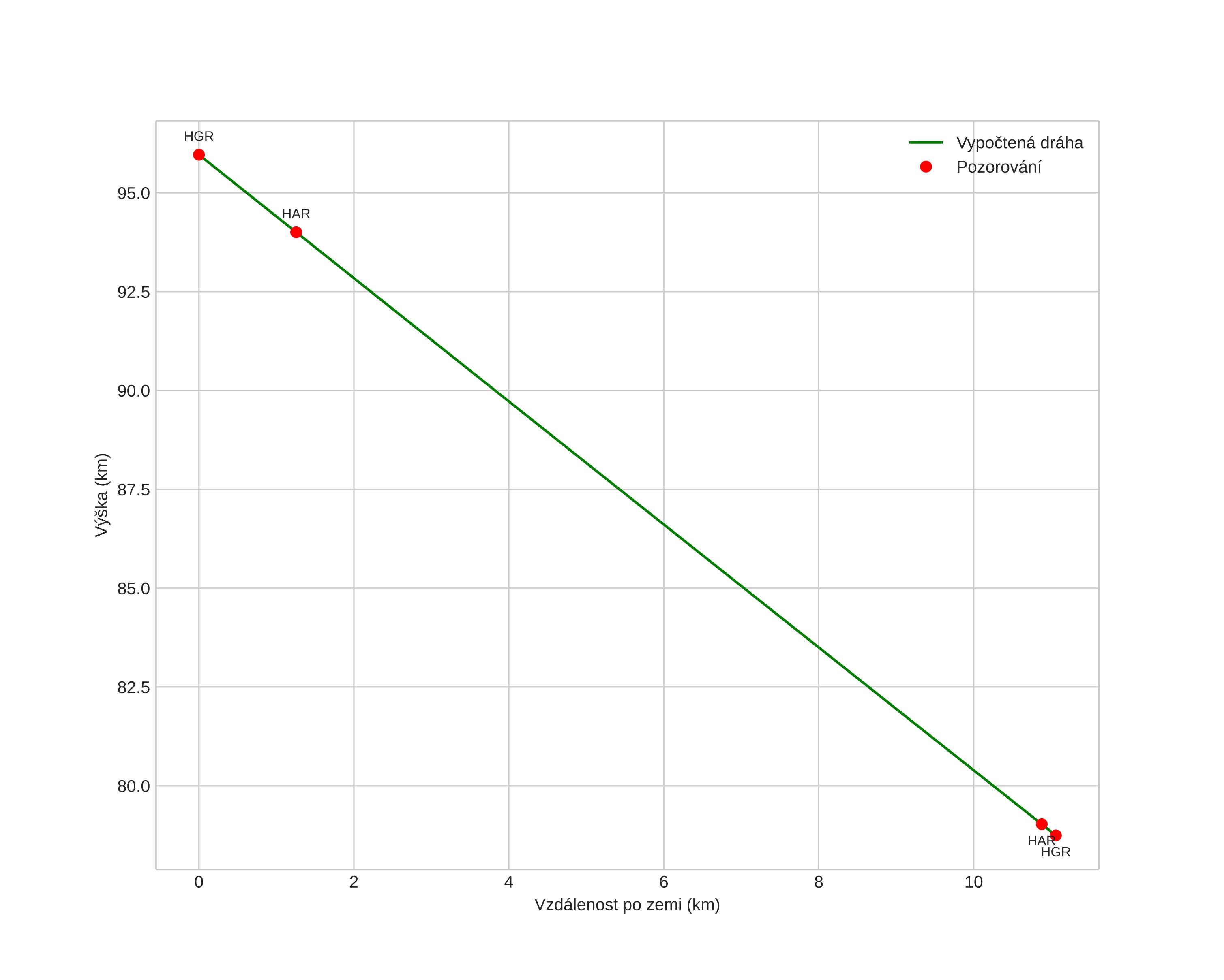
height profile
Atmosférická dráha meteoru:
Počáteční výška: 93,8 km
Konečná výška: 78,7 km
Počáteční poloha: 60,125N 11,969E
Konečná poloha: 60,213N 11,986E
Směr: 5,4°
Sklon: 56,8°
VstupnĂ­ rychlost: 20,6 km/s
Rektascenze radiantu: 03:01 (45,4°)
Deklinace radiantu: 23,9°
MeteorickĂ˝ roj: sporadickĂ˝
Elementy dráhy meteoroidu:
Vzdálenost v periheliu: 0,753 AU
Excentricita: 0,728
Sklon dráhy: 3,3°
Délka vzestupného uzlu: 243,7°
Argument perihelia: 244,1°
Střední anomálie: 351,6°
Epocha: 2024 NOV 25 22:11:10
orbit plot

NeinteraktivnĂ­ graf | InteraktivnĂ­ graf

position vs time
speed and acceleration