🇳🇴 🇬🇧 🇩🇪 🇨🇿 🇫🇮

Meteor Kongsvingerin yllä 2024-11-25 22:11:10 UTC

KML-tiedosto  |  Interaktiivinen kartta

Kartta näyttää meteorin suuntahavainnot. Vaaleammat viivat näyttävät suunnat havaintoasemilta meteorin ilmestyessä, ja tummemmat viivat näyttävät, missä se viimeksi nähtiin. Sininen nuoli näyttää meteorin näkyvän lennon.

static map
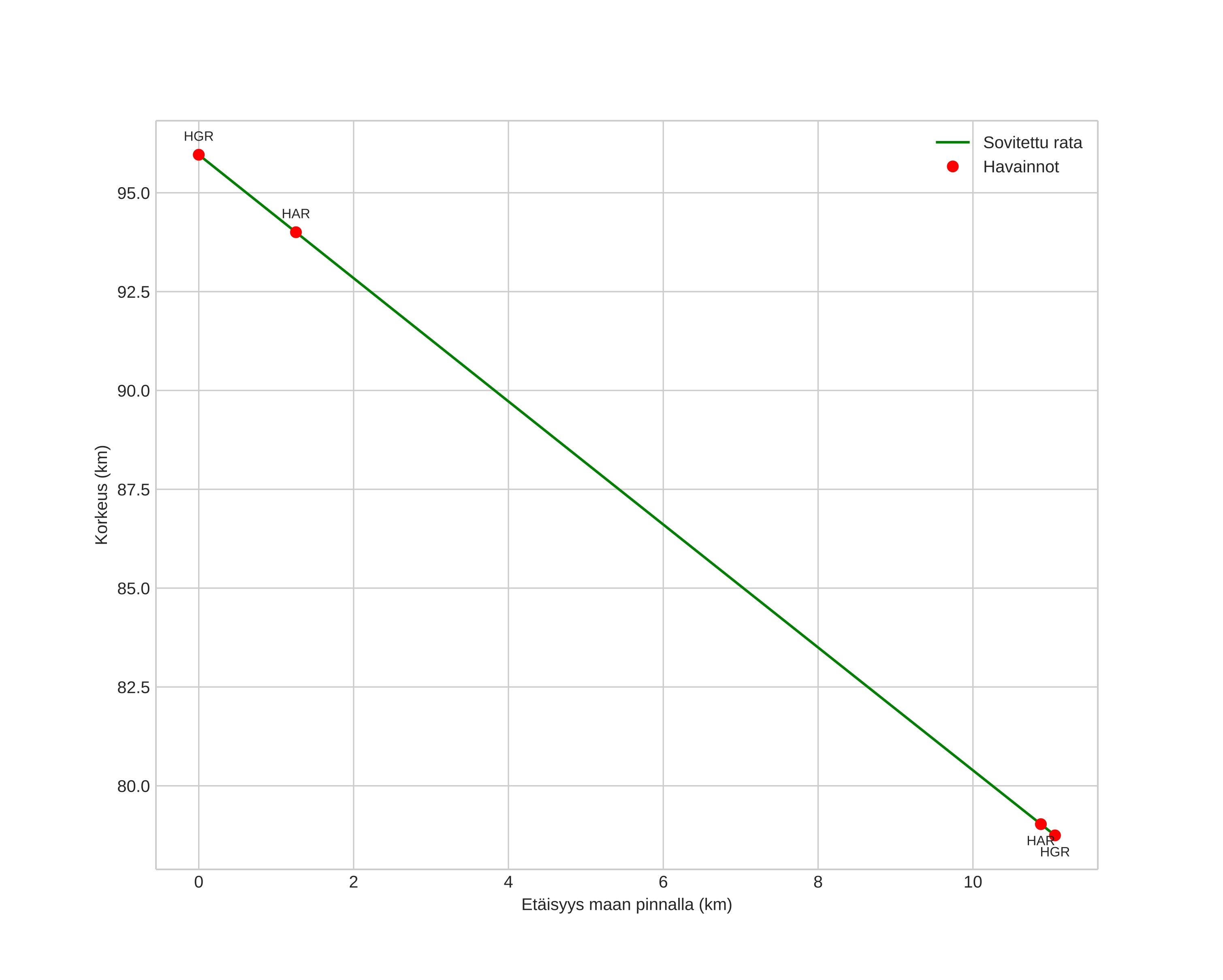
height profile
Meteorin ilmakehärata:
Alkukorkeus: 93,8 km
Loppukorkeus: 78,7 km
Alkupiste: 60,125N 11,969E
Loppupiste: 60,213N 11,986E
Suunta: 5,4°
Kallistuskulma: 56,8°
Tulonopeus: 20,6 km/s
Radiantin R,A,: 03:01 (45,4°)
Radiantin Dekl,: 23,9°
Meteoriparvi: Sporadinen
Meteoroidin rataelementit:
Perihelietäisyys: 0,753 AU
Eksentrisyys: 0,728
Inklinaatio: 3,3°
Nousevan solmun pituus: 243,7°
Perihelin argumentti: 244,1°
Keskianomalia: 351,6°
Epookki: 2024 NOV 25 22:11:10
orbit plot

Ei-interaktiivinen kuvaaja | Interaktiivinen kuvaaja

position vs time
speed and acceleration