🇳🇴 🇬🇧 🇩🇪 🇨🇿 🇫🇮

Meteor, poloha: Ørje 2024-11-27 17:22:09 UTC

Soubor KML  |  Interaktivní mapa

Mapa zobrazuje dráhy meteoru. Světlejší čáry ukazují směry od pozorovacích stanic při objevení se meteoru a tmavší čáry, kde byl naposledy viděn. Modrá šipka značí viditelnou dráhu meteoru.

static map
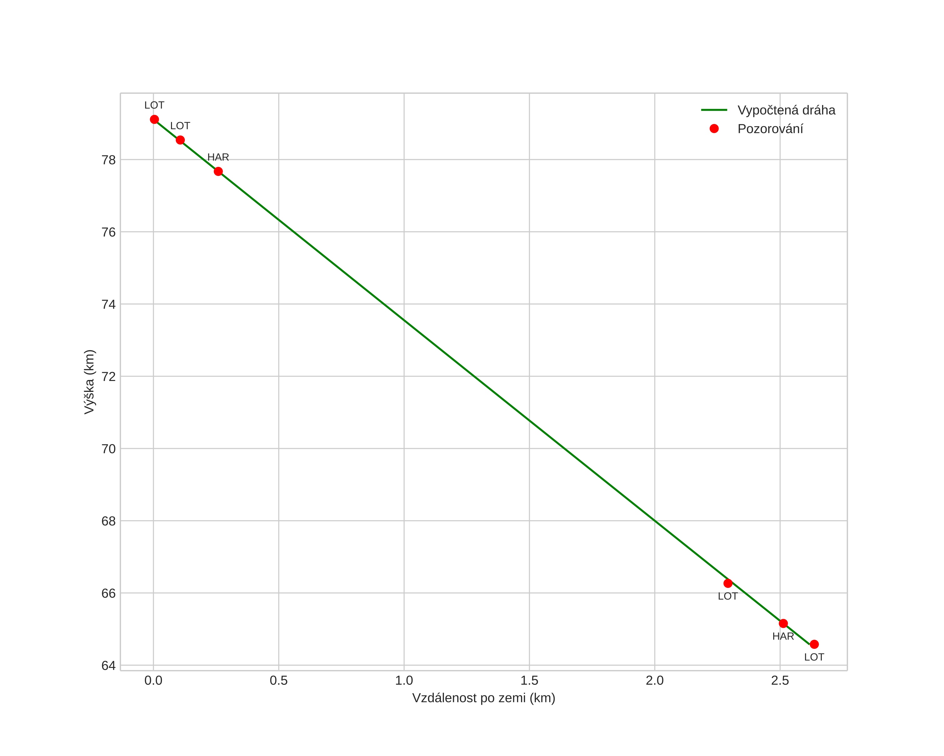
height profile
Atmosférická dráha meteoru:
Počáteční výška: 79,7 km
Konečná výška: 60,6 km
Počáteční poloha: 59,443N 11,643E
Konečná poloha: 59,418N 11,664E
Směr: 156,7°
Sklon: 80,8°
Vstupní rychlost: 21,8 km/s
Rektascenze radiantu: 21:47 (326,8°)
Deklinace radiantu: 67,8°
Meteorický roj: sporadický
Elementy dráhy meteoroidu:
Vzdálenost v periheliu: 0,960 AU
Excentricita: 0,687
Sklon dráhy: 27,0°
Délka vzestupného uzlu: 245,6°
Argument perihelia: 201,1°
Střední anomálie: 357,1°
Epocha: 2024 NOV 27 17:22:09
orbit plot

Neinteraktivní graf | Interaktivní graf

position vs time
speed and acceleration