🇳🇴 🇬🇧 🇩🇪 🇨🇿 🇫🇮

Meteor Ørjen yllä 2024-11-27 17:22:09 UTC

KML-tiedosto  |  Interaktiivinen kartta

Kartta näyttää meteorin suuntahavainnot. Vaaleammat viivat näyttävät suunnat havaintoasemilta meteorin ilmestyessä, ja tummemmat viivat näyttävät, missä se viimeksi nähtiin. Sininen nuoli näyttää meteorin näkyvän lennon.

static map
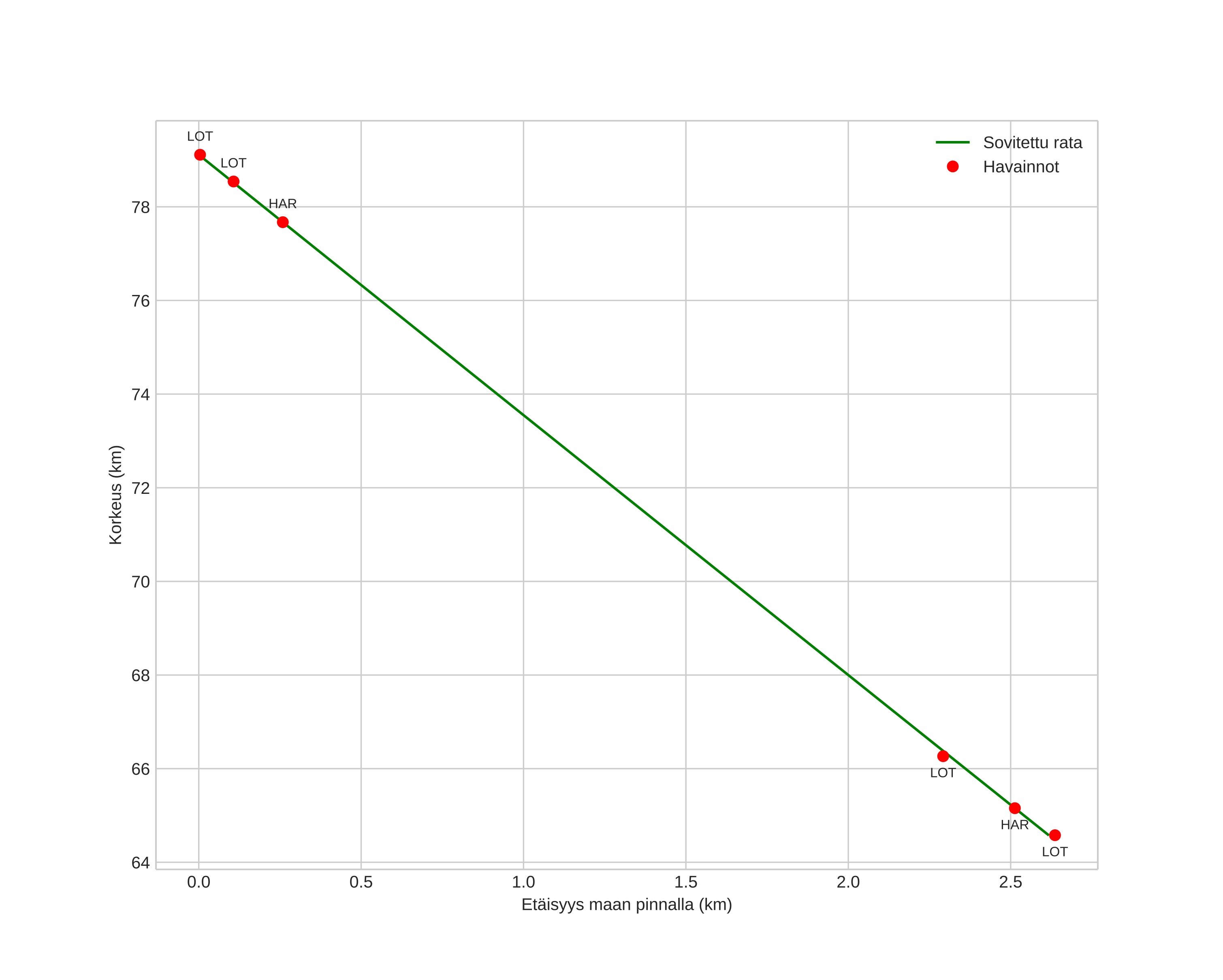
height profile
Meteorin ilmakehärata:
Alkukorkeus: 79,7 km
Loppukorkeus: 60,6 km
Alkupiste: 59,443N 11,643E
Loppupiste: 59,418N 11,664E
Suunta: 156,7°
Kallistuskulma: 80,8°
Tulonopeus: 21,8 km/s
Radiantin R,A,: 21:47 (326,8°)
Radiantin Dekl,: 67,8°
Meteoriparvi: Sporadinen
Meteoroidin rataelementit:
Perihelietäisyys: 0,960 AU
Eksentrisyys: 0,687
Inklinaatio: 27,0°
Nousevan solmun pituus: 245,6°
Perihelin argumentti: 201,1°
Keskianomalia: 357,1°
Epookki: 2024 NOV 27 17:22:09
orbit plot

Ei-interaktiivinen kuvaaja | Interaktiivinen kuvaaja

position vs time
speed and acceleration