Mapa zobrazuje dráhy meteoru. SvÄ›tlejšà čáry ukazujĂ smÄ›ry od pozorovacĂch stanic pĹ™i objevenĂ se meteoru a tmavšà čáry, kde byl naposledy vidÄ›n. Modrá šipka znaÄŤĂ viditelnou dráhu meteoru.

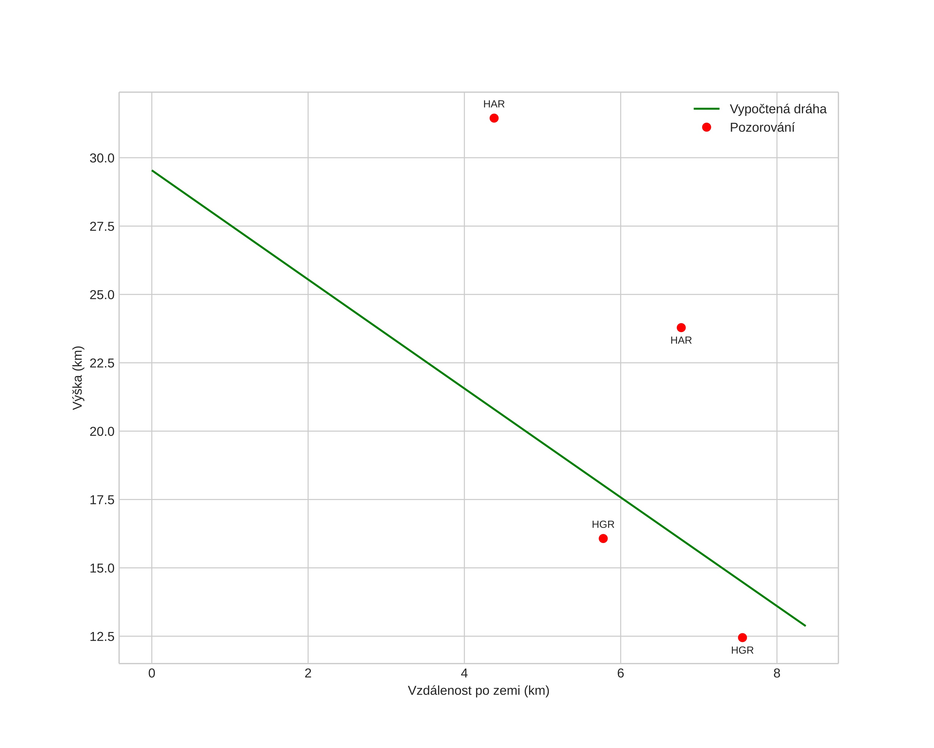
Atmosférická dráha meteoru:
|


|
![]() |
|
![]() |