🇳🇴 🇬🇧 🇩🇪 🇨🇿 🇫🇮

Meteor Skreian yllä 2024-11-27 20:26:53 UTC

KML-tiedosto  |  Interaktiivinen kartta

Kartta näyttää meteorin suuntahavainnot. Vaaleammat viivat näyttävät suunnat havaintoasemilta meteorin ilmestyessä, ja tummemmat viivat näyttävät, missä se viimeksi nähtiin. Sininen nuoli näyttää meteorin näkyvän lennon.

static map
height profile
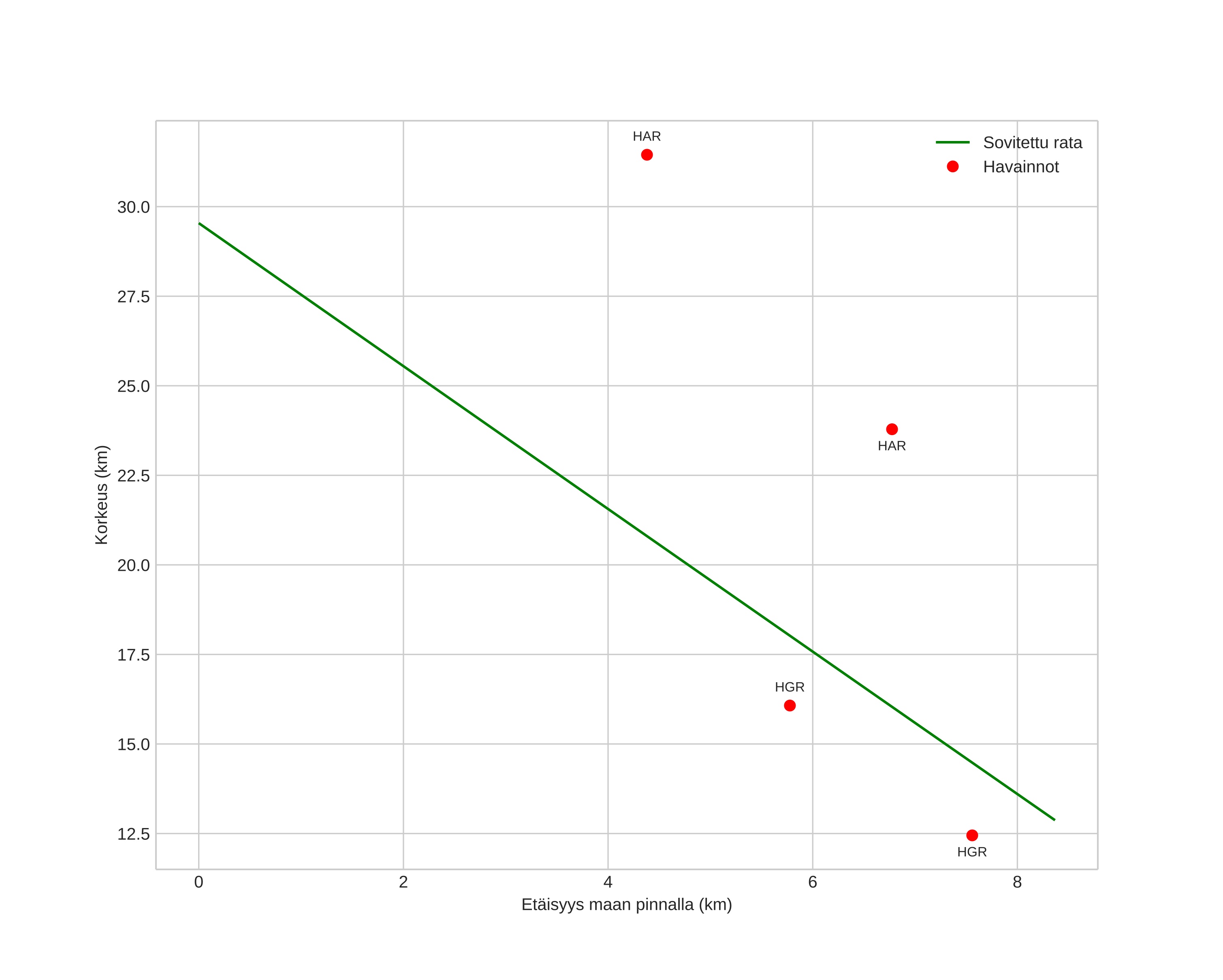
Meteorin ilmakehärata:
Alkukorkeus: 28,4 km
Loppukorkeus: 14,4 km
Alkupiste: 60,601N 10,978E
Loppupiste: 60,643N 10,917E
Suunta: 324,4°
Kallistuskulma: 67,6°
Tulonopeus: 5,1 km/s
orbit plot
position vs time
speed and acceleration