🇳🇴 🇬🇧 🇩🇪 🇨🇿 🇫🇮

Meteor, poloha: Kirkenær 2024-11-27 21:51:51 UTC

Soubor KML  |  InteraktivnĂ­ mapa

Mapa zobrazuje dráhy meteoru. Světlejší čáry ukazují směry od pozorovacích stanic při objevení se meteoru a tmavší čáry, kde byl naposledy viděn. Modrá šipka značí viditelnou dráhu meteoru.

static map
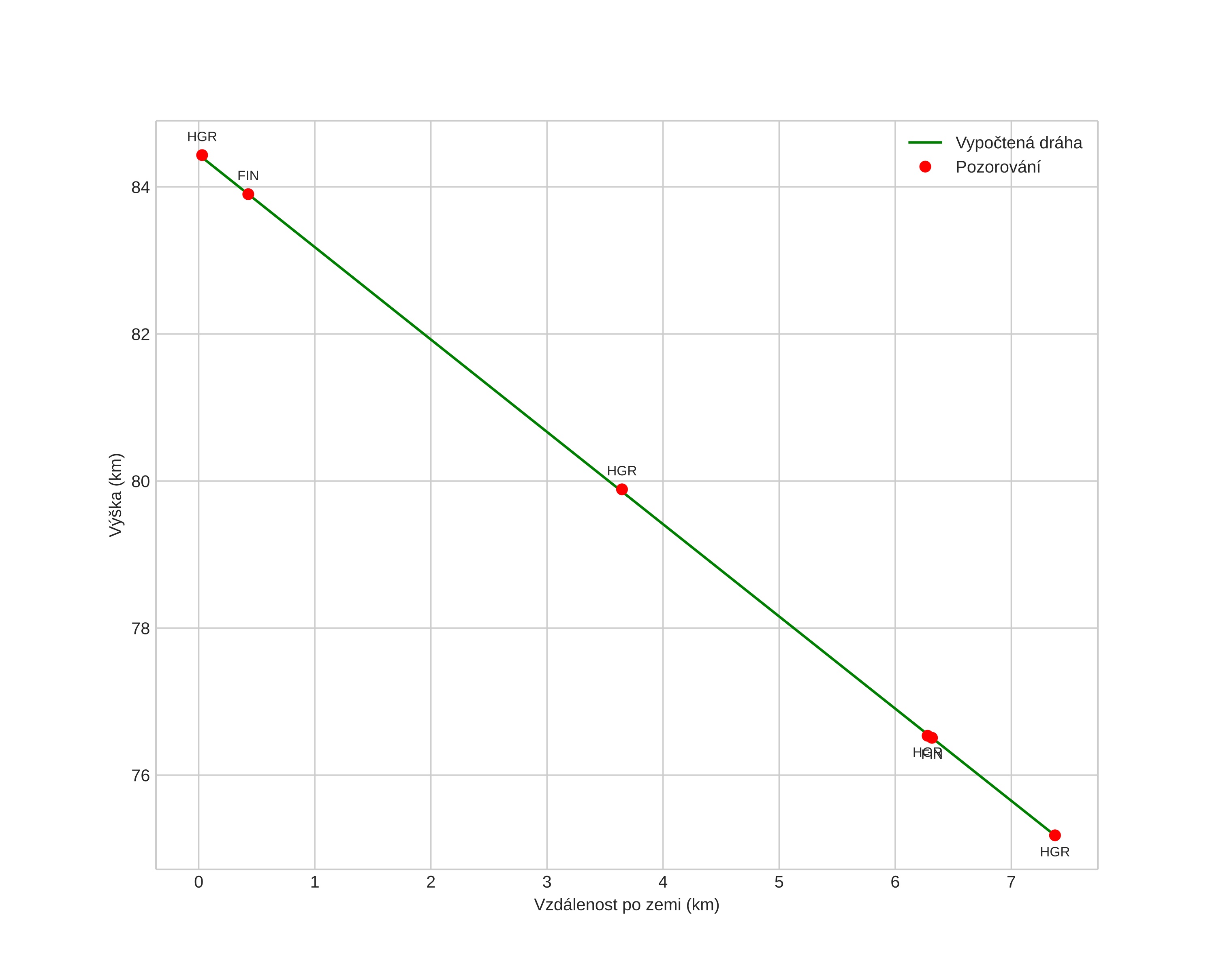
height profile
Atmosférická dráha meteoru:
Počáteční výška: 84,9 km
Konečná výška: 75,1 km
Počáteční poloha: 60,426N 12,292E
Konečná poloha: 60,387N 12,421E
Směr: 121,4°
Sklon: 49,7°
VstupnĂ­ rychlost: 23,1 km/s
Rektascenze radiantu: 21:29 (322,4°)
Deklinace radiantu: 53,5°
MeteorickĂ˝ roj: sporadickĂ˝
Elementy dráhy meteoroidu:
Vzdálenost v periheliu: 0,978 AU
Excentricita: 1,077
Sklon dráhy: 24,8°
Délka vzestupného uzlu: 245,8°
Argument perihelia: 190,2°
Střední anomálie: -0,2°
Epocha: 2024 NOV 27 21:51:51
orbit plot

NeinteraktivnĂ­ graf | InteraktivnĂ­ graf

position vs time
speed and acceleration