🇳🇴 🇬🇧 🇩🇪 🇨🇿 🇫🇮

Meteor Kirkenærin yllä 2024-11-27 21:51:51 UTC

KML-tiedosto  |  Interaktiivinen kartta

Kartta näyttää meteorin suuntahavainnot. Vaaleammat viivat näyttävät suunnat havaintoasemilta meteorin ilmestyessä, ja tummemmat viivat näyttävät, missä se viimeksi nähtiin. Sininen nuoli näyttää meteorin näkyvän lennon.

static map
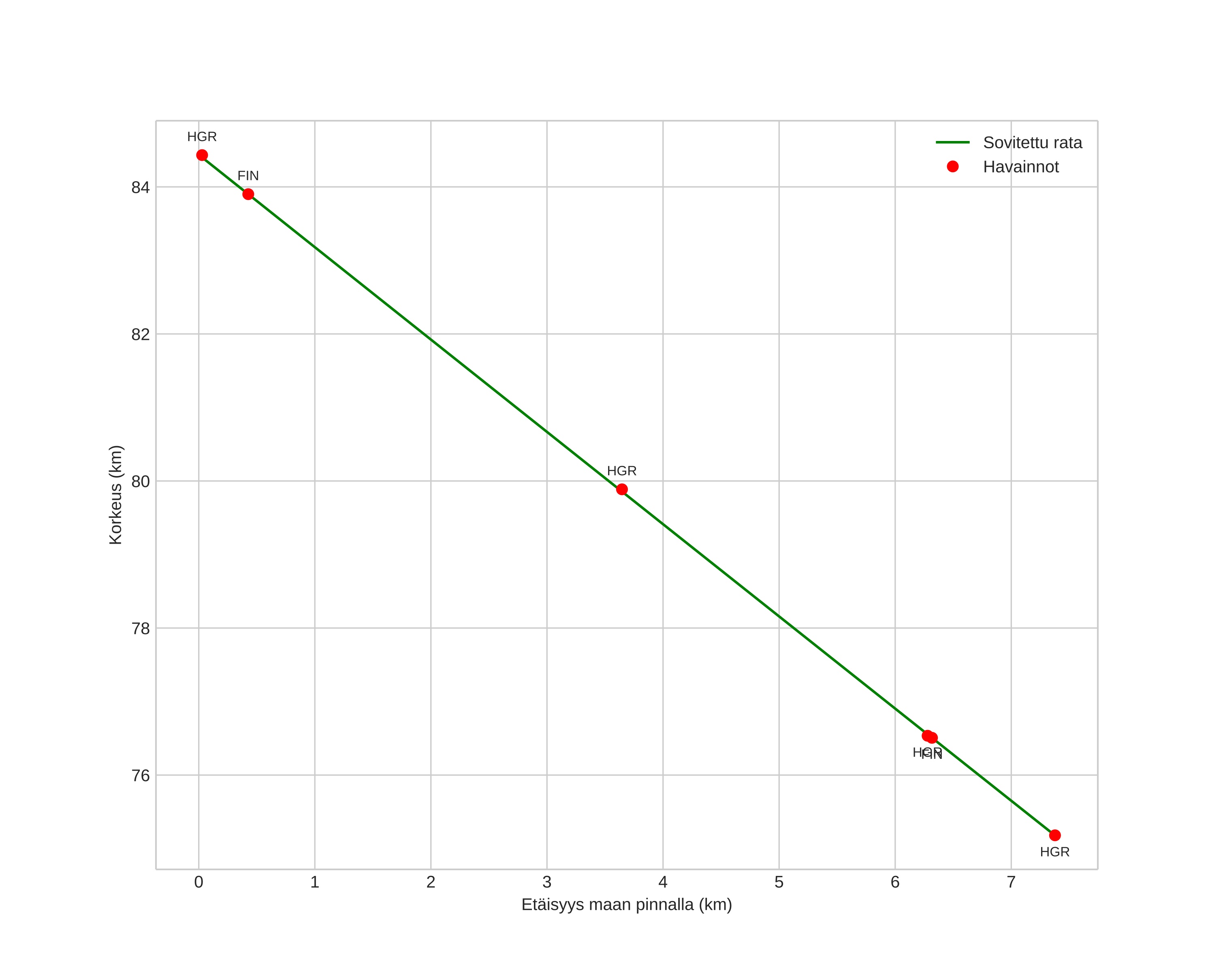
height profile
Meteorin ilmakehärata:
Alkukorkeus: 84,9 km
Loppukorkeus: 75,1 km
Alkupiste: 60,426N 12,292E
Loppupiste: 60,387N 12,421E
Suunta: 121,4°
Kallistuskulma: 49,7°
Tulonopeus: 23,1 km/s
Radiantin R,A,: 21:29 (322,4°)
Radiantin Dekl,: 53,5°
Meteoriparvi: Sporadinen
Meteoroidin rataelementit:
Perihelietäisyys: 0,978 AU
Eksentrisyys: 1,077
Inklinaatio: 24,8°
Nousevan solmun pituus: 245,8°
Perihelin argumentti: 190,2°
Keskianomalia: -0,2°
Epookki: 2024 NOV 27 21:51:51
orbit plot

Ei-interaktiivinen kuvaaja | Interaktiivinen kuvaaja

position vs time
speed and acceleration