🇳🇴 🇬🇧 🇩🇪 🇨🇿 🇫🇮

Meteor, poloha: Neskollen 2024-11-27 22:11:46 UTC

Soubor KML  |  InteraktivnĂ­ mapa

Mapa zobrazuje dráhy meteoru. Světlejší čáry ukazují směry od pozorovacích stanic při objevení se meteoru a tmavší čáry, kde byl naposledy viděn. Modrá šipka značí viditelnou dráhu meteoru.

static map
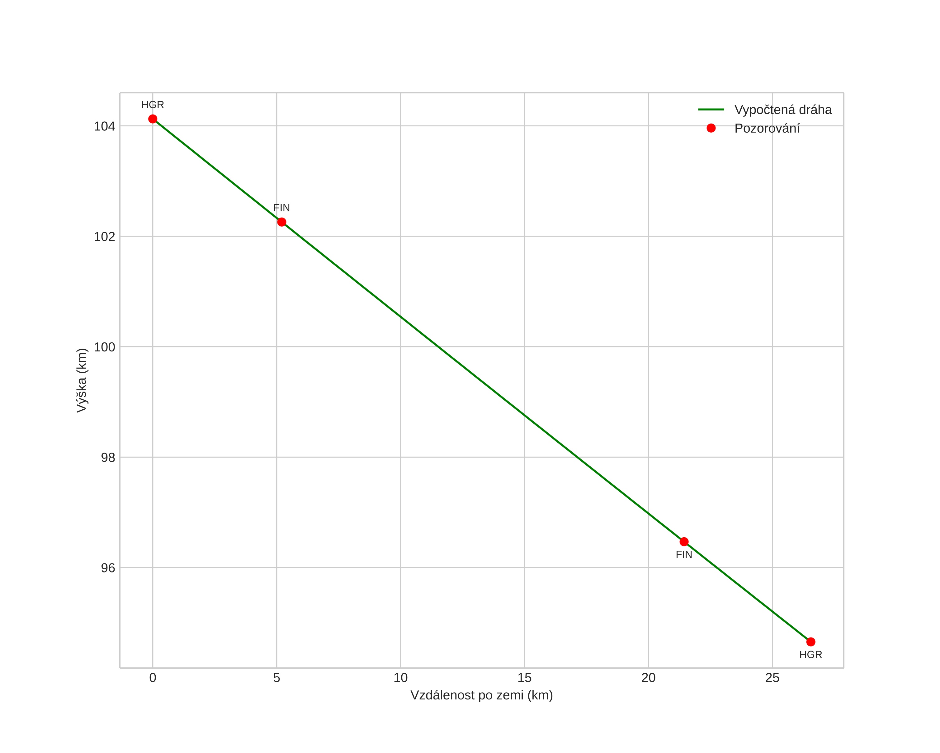
height profile
Atmosférická dráha meteoru:
Počáteční výška: 103,6 km
Konečná výška: 94,7 km
Počáteční poloha: 60,184N 11,714E
Konečná poloha: 60,076N 11,287E
Směr: 243,2°
Sklon: 18,5°
VstupnĂ­ rychlost: 66,3 km/s
Rektascenze radiantu: 10:23 (156,0°)
Deklinace radiantu: 28,9°
MeteorickĂ˝ roj: Leonidy
Elementy dráhy meteoroidu:
Vzdálenost v periheliu: 0,903 AU
Excentricita: 0,650
Sklon dráhy: 147,8°
Délka vzestupného uzlu: 245,8°
Argument perihelia: 218,2°
Střední anomálie: 353,5°
Epocha: 2024 NOV 27 22:11:46
orbit plot

NeinteraktivnĂ­ graf | InteraktivnĂ­ graf

position vs time
speed and acceleration