🇳🇴 🇬🇧 🇩🇪 🇨🇿 🇫🇮

Meteor Neskollenin yllä 2024-11-27 22:11:46 UTC

KML-tiedosto  |  Interaktiivinen kartta

Kartta näyttää meteorin suuntahavainnot. Vaaleammat viivat näyttävät suunnat havaintoasemilta meteorin ilmestyessä, ja tummemmat viivat näyttävät, missä se viimeksi nähtiin. Sininen nuoli näyttää meteorin näkyvän lennon.

static map
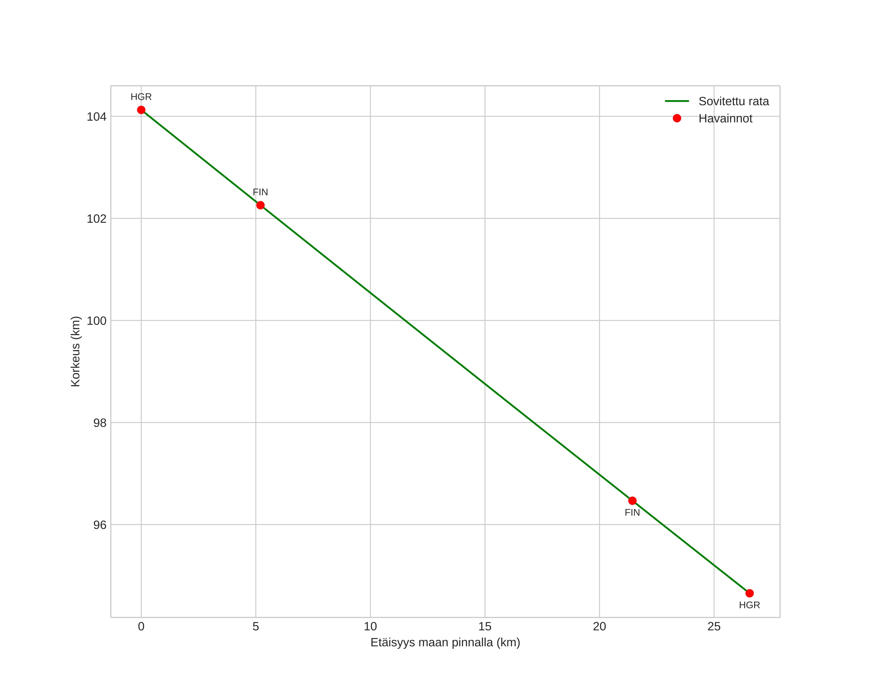
height profile
Meteorin ilmakehärata:
Alkukorkeus: 103,6 km
Loppukorkeus: 94,7 km
Alkupiste: 60,184N 11,714E
Loppupiste: 60,076N 11,287E
Suunta: 243,2°
Kallistuskulma: 18,5°
Tulonopeus: 66,3 km/s
Radiantin R,A,: 10:23 (156,0°)
Radiantin Dekl,: 28,9°
Meteoriparvi: Leonidit
Meteoroidin rataelementit:
Perihelietäisyys: 0,903 AU
Eksentrisyys: 0,650
Inklinaatio: 147,8°
Nousevan solmun pituus: 245,8°
Perihelin argumentti: 218,2°
Keskianomalia: 353,5°
Epookki: 2024 NOV 27 22:11:46
orbit plot

Ei-interaktiivinen kuvaaja | Interaktiivinen kuvaaja

position vs time
speed and acceleration