🇳🇴 🇬🇧 🇩🇪 🇨🇿 🇫🇮

Meteor, poloha: Ludvika 2024-11-27 22:26:54 UTC

Soubor KML  |  InteraktivnĂ­ mapa

Mapa zobrazuje dráhy meteoru. Světlejší čáry ukazují směry od pozorovacích stanic při objevení se meteoru a tmavší čáry, kde byl naposledy viděn. Modrá šipka značí viditelnou dráhu meteoru.

static map
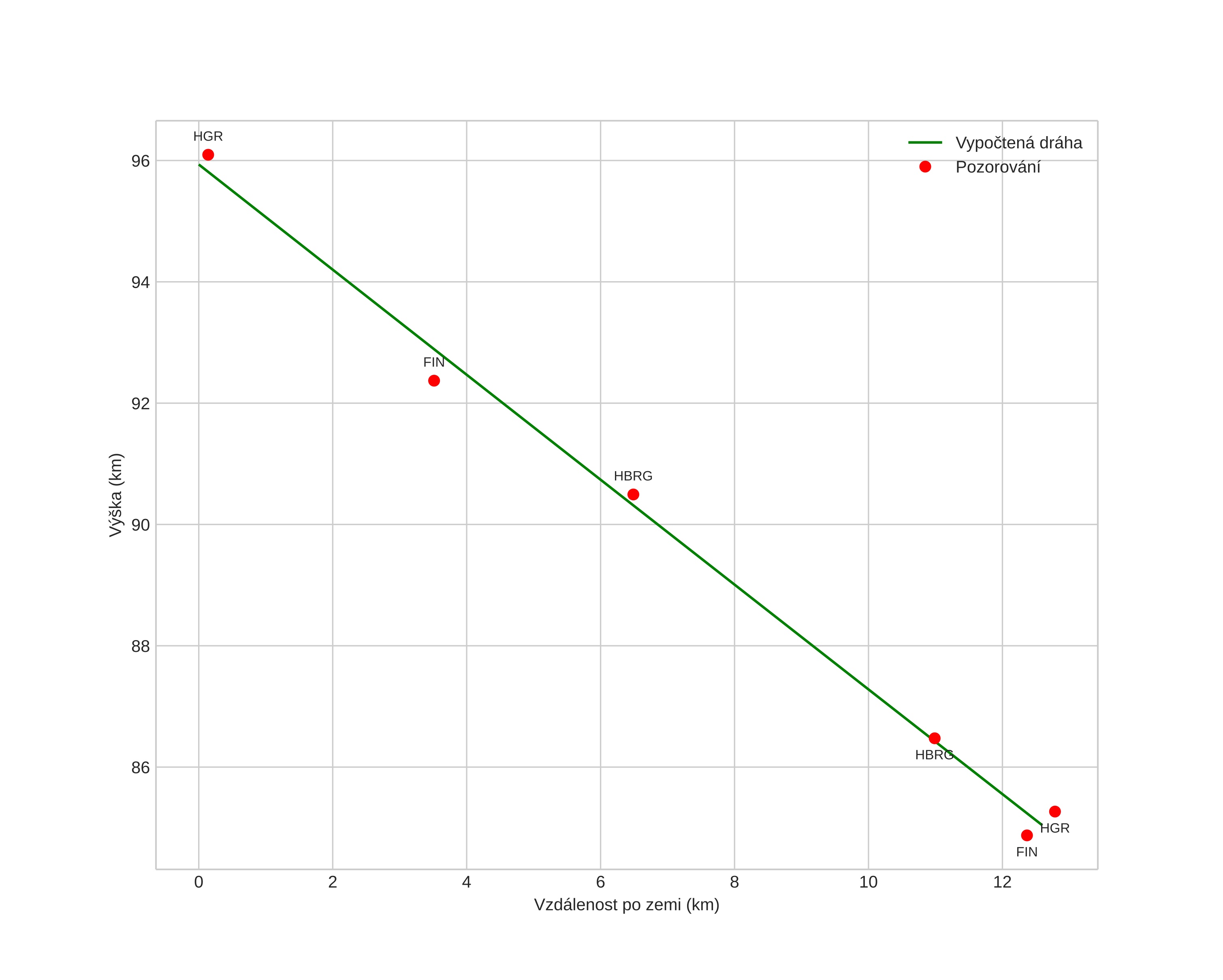
height profile
Atmosférická dráha meteoru:
Počáteční výška: 96,0 km
Konečná výška: 84,8 km
Počáteční poloha: 60,136N 15,365E
Konečná poloha: 60,036N 15,270E
Směr: 205,6°
Sklon: 42,5°
VstupnĂ­ rychlost: 49,9 km/s
Rektascenze radiantu: 12:28 (187,2°)
Deklinace radiantu: 66,3°
MeteorickĂ˝ roj: sporadickĂ˝
Elementy dráhy meteoroidu:
Vzdálenost v periheliu: 0,964 AU
Excentricita: 1,025
Sklon dráhy: 81,6°
Délka vzestupného uzlu: 245,8°
Argument perihelia: 197,2°
Střední anomálie: -0,0°
Epocha: 2024 NOV 27 22:26:54
orbit plot

NeinteraktivnĂ­ graf | InteraktivnĂ­ graf

position vs time
speed and acceleration