🇳🇴 🇬🇧 🇩🇪 🇨🇿 🇫🇮

Meteor Ludvikan yllä 2024-11-27 22:26:54 UTC

KML-tiedosto  |  Interaktiivinen kartta

Kartta näyttää meteorin suuntahavainnot. Vaaleammat viivat näyttävät suunnat havaintoasemilta meteorin ilmestyessä, ja tummemmat viivat näyttävät, missä se viimeksi nähtiin. Sininen nuoli näyttää meteorin näkyvän lennon.

static map
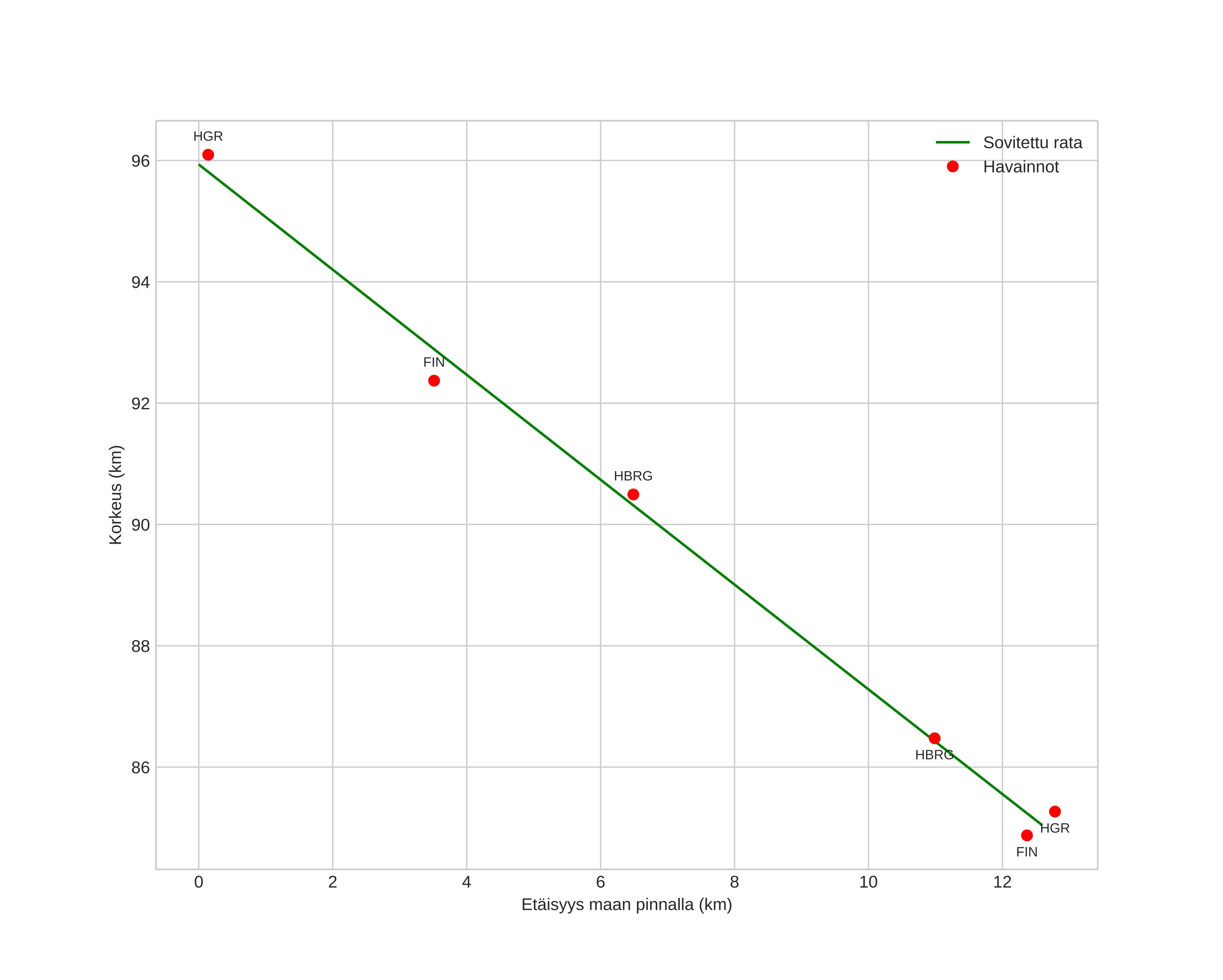
height profile
Meteorin ilmakehärata:
Alkukorkeus: 96,0 km
Loppukorkeus: 84,8 km
Alkupiste: 60,136N 15,365E
Loppupiste: 60,036N 15,270E
Suunta: 205,6°
Kallistuskulma: 42,5°
Tulonopeus: 49,9 km/s
Radiantin R,A,: 12:28 (187,2°)
Radiantin Dekl,: 66,3°
Meteoriparvi: Sporadinen
Meteoroidin rataelementit:
Perihelietäisyys: 0,964 AU
Eksentrisyys: 1,025
Inklinaatio: 81,6°
Nousevan solmun pituus: 245,8°
Perihelin argumentti: 197,2°
Keskianomalia: -0,0°
Epookki: 2024 NOV 27 22:26:54
orbit plot

Ei-interaktiivinen kuvaaja | Interaktiivinen kuvaaja

position vs time
speed and acceleration