🇳🇴 🇬🇧 🇩🇪 🇨🇿 🇫🇮

Meteor, poloha: Innbygda 2024-11-27 22:37:14 UTC

Soubor KML  |  InteraktivnĂ­ mapa

Mapa zobrazuje dráhy meteoru. Světlejší čáry ukazují směry od pozorovacích stanic při objevení se meteoru a tmavší čáry, kde byl naposledy viděn. Modrá šipka značí viditelnou dráhu meteoru.

static map
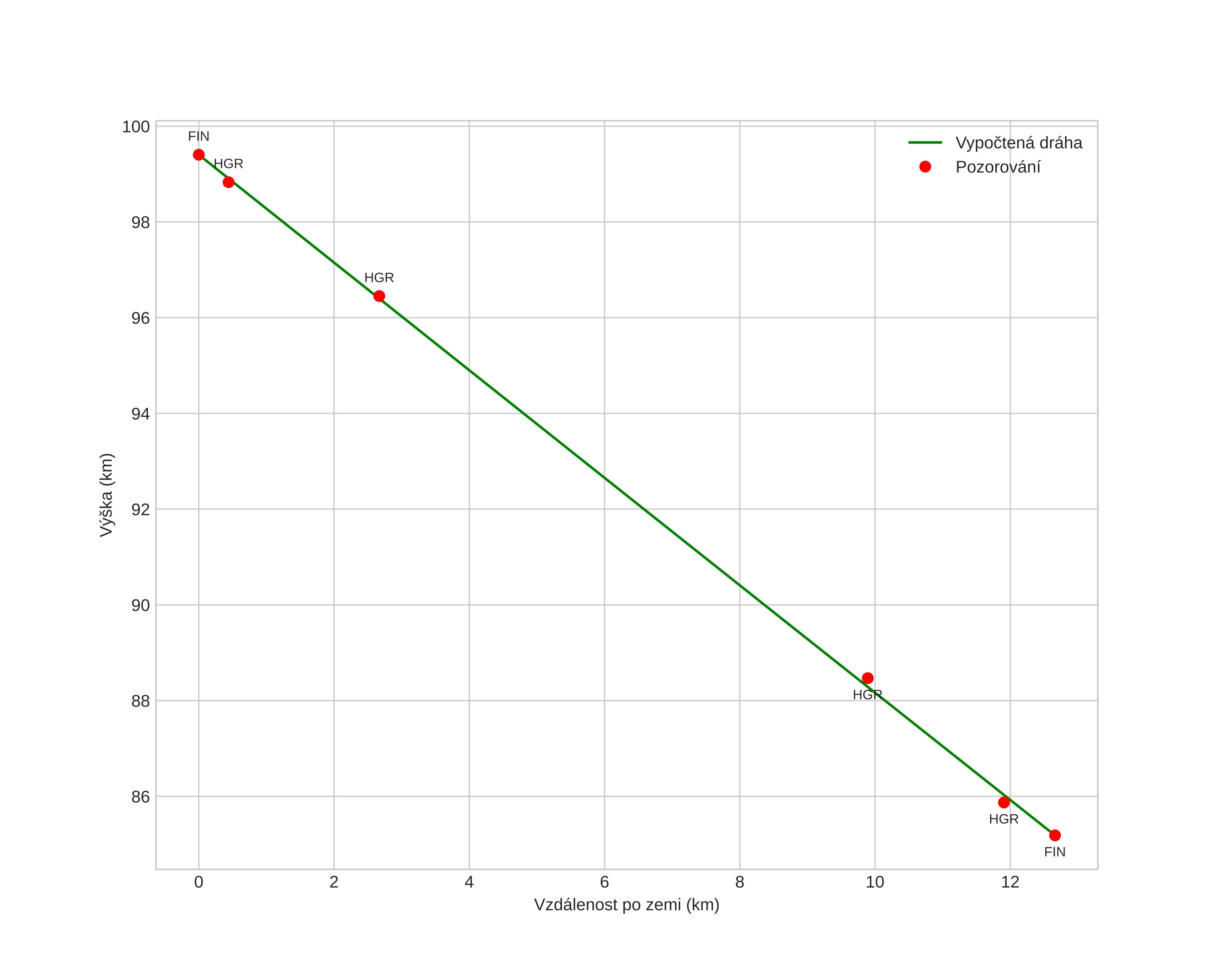
height profile
Atmosférická dráha meteoru:
Počáteční výška: 101,2 km
Konečná výška: 85,1 km
Počáteční poloha: 61,365N 11,918E
Konečná poloha: 61,237N 11,958E
Směr: 171,5°
Sklon: 48,2°
VstupnĂ­ rychlost: 35,3 km/s
Rektascenze radiantu: 17:31 (262,9°)
Deklinace radiantu: 74,9°
MeteorickĂ˝ roj: sporadickĂ˝
Elementy dráhy meteoroidu:
Vzdálenost v periheliu: 0,977 AU
Excentricita: 1,065
Sklon dráhy: 50,6°
Délka vzestupného uzlu: 245,8°
Argument perihelia: 191,2°
Střední anomálie: -0,1°
Epocha: 2024 NOV 27 22:37:14
orbit plot

NeinteraktivnĂ­ graf | InteraktivnĂ­ graf

position vs time
speed and acceleration