🇳🇴 🇬🇧 🇩🇪 🇨🇿 🇫🇮

Meteor Innbygdan yllä 2024-11-27 22:37:14 UTC

KML-tiedosto  |  Interaktiivinen kartta

Kartta näyttää meteorin suuntahavainnot. Vaaleammat viivat näyttävät suunnat havaintoasemilta meteorin ilmestyessä, ja tummemmat viivat näyttävät, missä se viimeksi nähtiin. Sininen nuoli näyttää meteorin näkyvän lennon.

static map
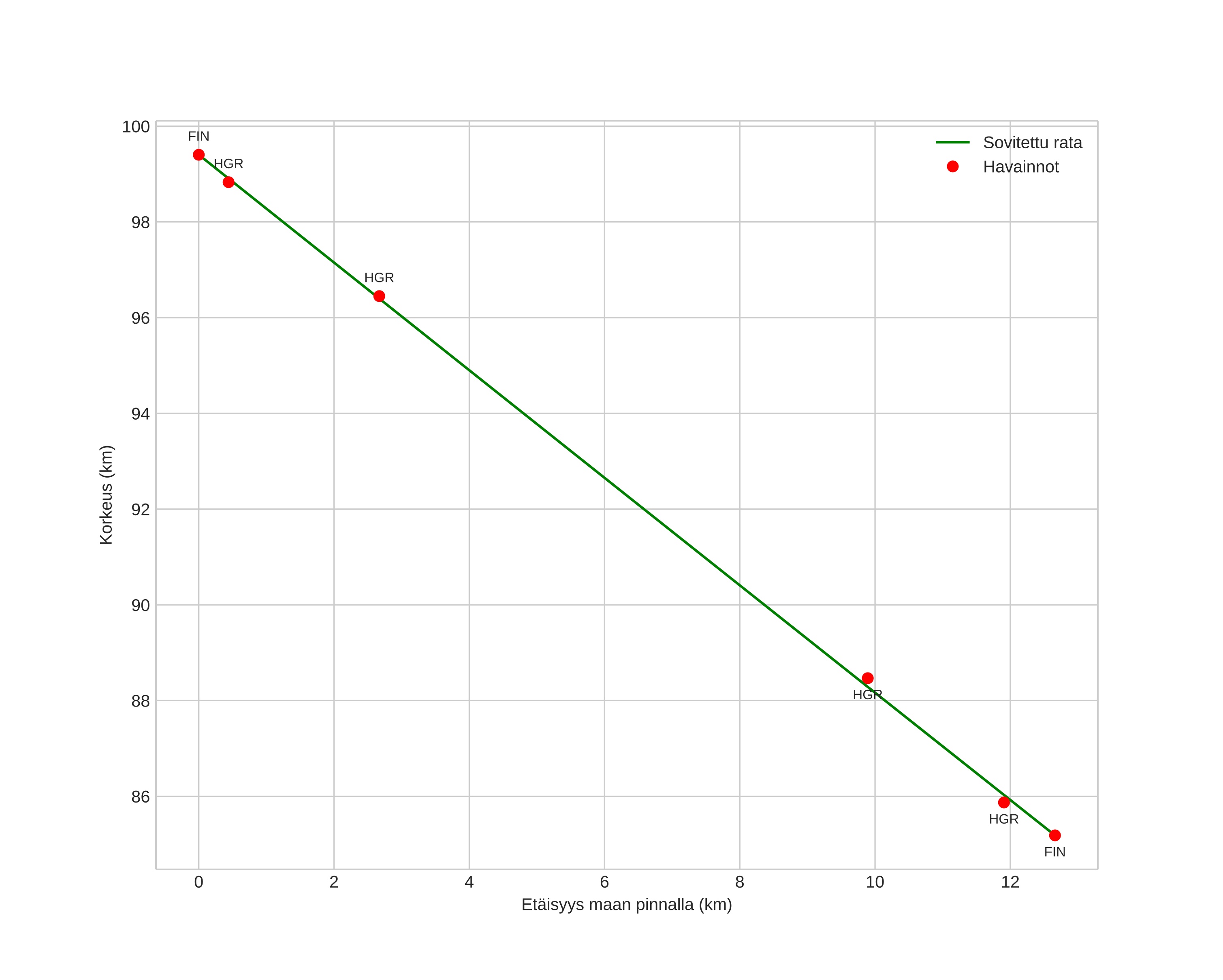
height profile
Meteorin ilmakehärata:
Alkukorkeus: 101,2 km
Loppukorkeus: 85,1 km
Alkupiste: 61,365N 11,918E
Loppupiste: 61,237N 11,958E
Suunta: 171,5°
Kallistuskulma: 48,2°
Tulonopeus: 35,3 km/s
Radiantin R,A,: 17:31 (262,9°)
Radiantin Dekl,: 74,9°
Meteoriparvi: Sporadinen
Meteoroidin rataelementit:
Perihelietäisyys: 0,977 AU
Eksentrisyys: 1,065
Inklinaatio: 50,6°
Nousevan solmun pituus: 245,8°
Perihelin argumentti: 191,2°
Keskianomalia: -0,1°
Epookki: 2024 NOV 27 22:37:14
orbit plot

Ei-interaktiivinen kuvaaja | Interaktiivinen kuvaaja

position vs time
speed and acceleration