🇳🇴 🇬🇧 🇩🇪 🇨🇿 🇫🇮

Meteor, poloha: Hov 2024-11-27 23:13:58 UTC

Soubor KML  |  InteraktivnĂ­ mapa

Mapa zobrazuje dráhy meteoru. Světlejší čáry ukazují směry od pozorovacích stanic při objevení se meteoru a tmavší čáry, kde byl naposledy viděn. Modrá šipka značí viditelnou dráhu meteoru.

static map
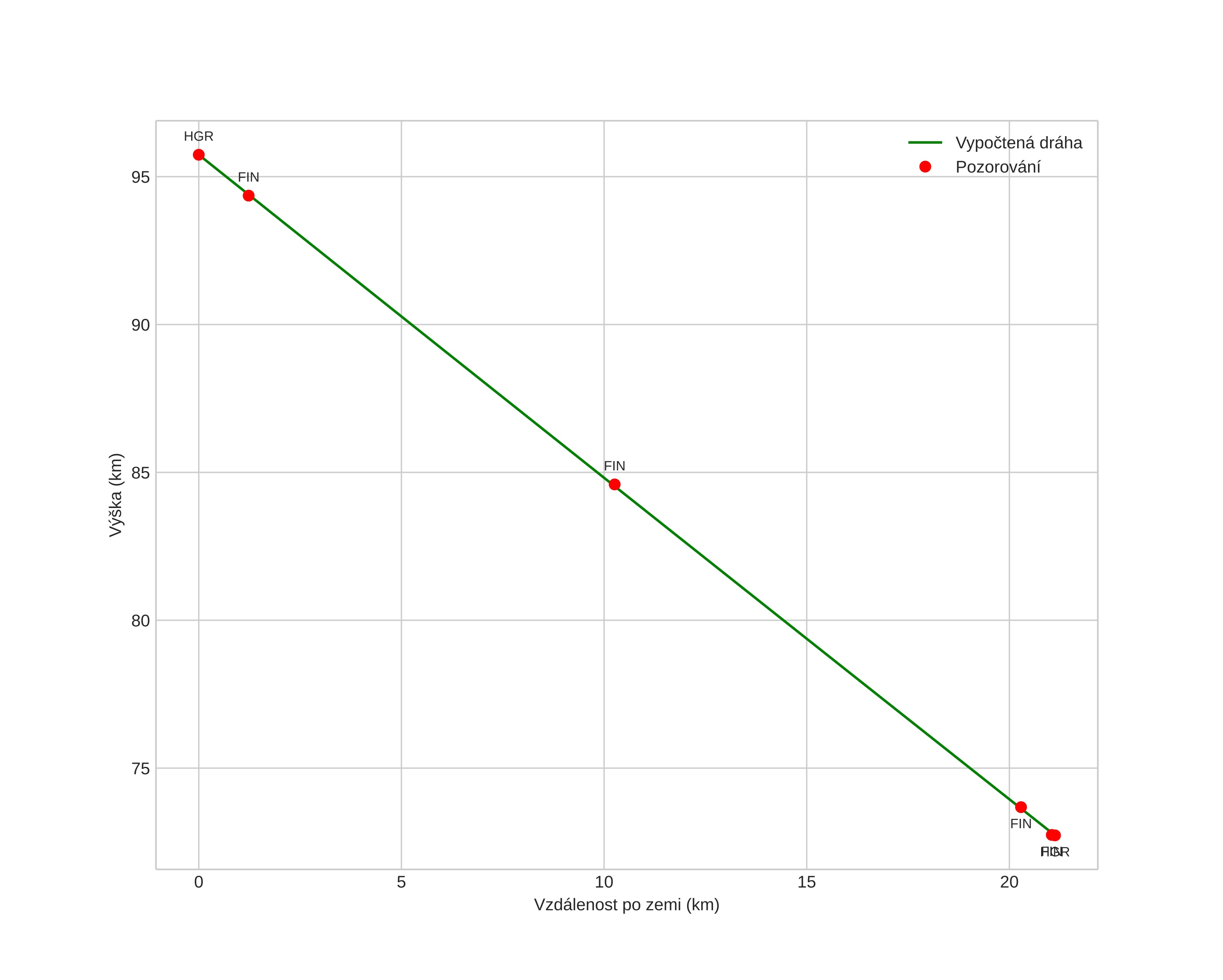
height profile
Atmosférická dráha meteoru:
Počáteční výška: 96,8 km
Konečná výška: 72,7 km
Počáteční poloha: 60,385N 10,411E
Konečná poloha: 60,584N 10,386E
Směr: 356,5°
Sklon: 47,5°
VstupnĂ­ rychlost: 25,6 km/s
Rektascenze radiantu: 04:31 (67,8°)
Deklinace radiantu: 15,4°
MeteorickĂ˝ roj: SevernĂ­ Tauridy
Elementy dráhy meteoroidu:
Vzdálenost v periheliu: 0,534 AU
Excentricita: 0,756
Sklon dráhy: 5,0°
Délka vzestupného uzlu: 65,9°
Argument perihelia: 93,7°
Střední anomálie: 346,4°
Epocha: 2024 NOV 27 23:13:58
orbit plot

NeinteraktivnĂ­ graf | InteraktivnĂ­ graf

position vs time
speed and acceleration

Finnskogen (FIN) cam4


gnomonic
Videa
• Gnomonická
• Gnomonická se souřadnicemi
• Původní
• Původní se souřadnicemi
Obrázky
• Gnomonická
• Gnomonická se souřadnicemi
• Původní
• Původní se souřadnicemi
Textové soubory
• Detekce
• Pozorování
• Souřadnice
• Protokol
Jasnost